• Предмет: Геометрия
  • Автор: ekaterinacernyseva25
  • Вопрос задан 8 лет назад

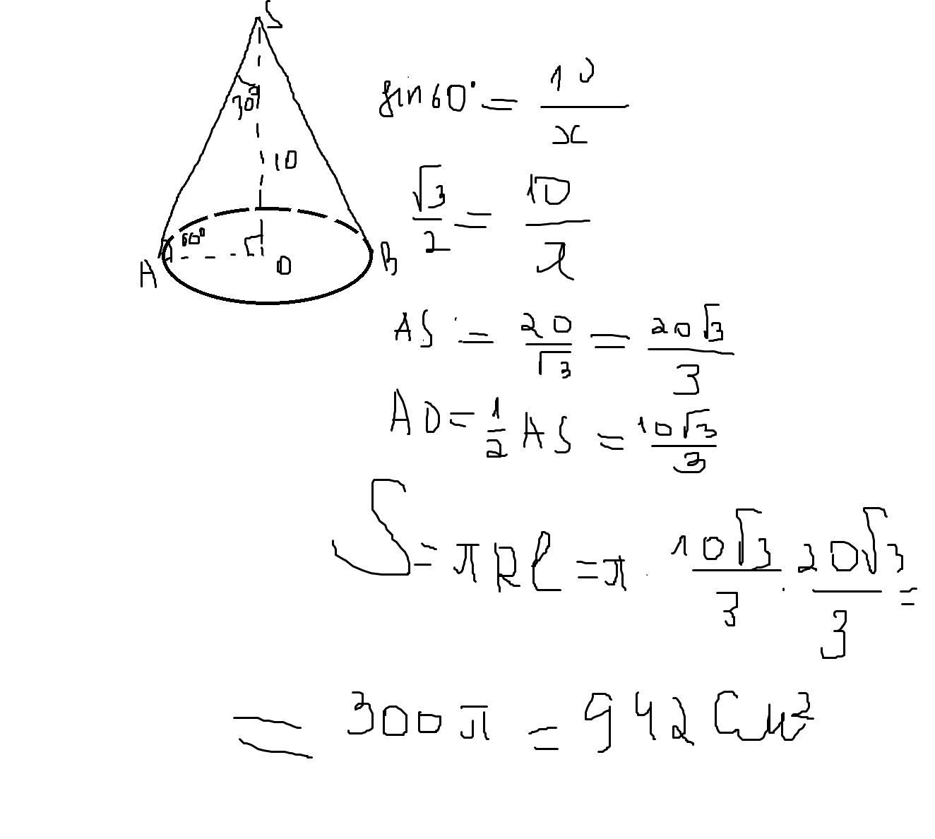
Высота конуса 10 см ,а образующая наклонена к плоскости его основания под углом 60. Найдите площадь поверхности конуса.

Ответы

Ответ дал: Аноним
0

Ответ:

Объяснение:

вОТ

Приложения:
Вас заинтересует