• Предмет: Алгебра
  • Автор: Дашка5милашка
  • Вопрос задан 8 лет назад

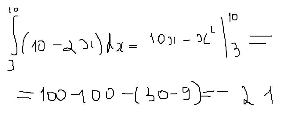
Вычислите определитель интеграла:
₁₀
₃∫(10-2x)dx

Ответы

Ответ дал: AlyaMihailova
0

|||||||||||||||||||||||||||||||

Приложения:
Ответ дал: Аноним
0

Ответ:

Объяснение:

вот

Приложения:
Вас заинтересует