Ответы
Ответ дал:
0
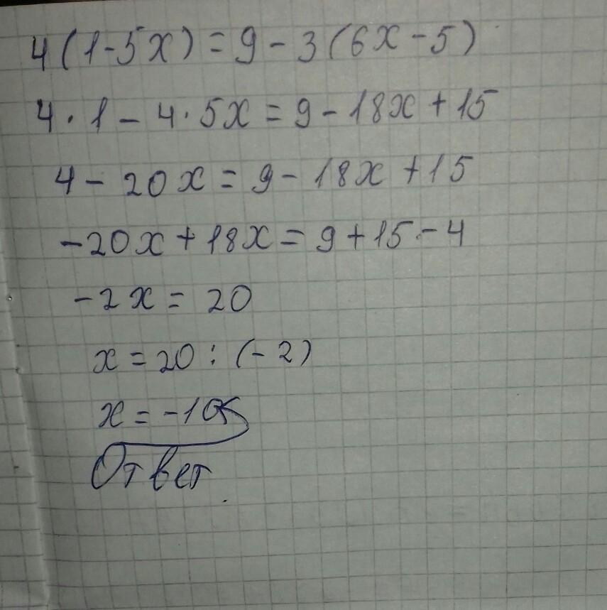
4-20х=9-18х+15
-2х=20
х=-10
Ответ: х=-10
Ответ дал:
0
у меня получилось это...
Приложения:

Ответ дал:
0
Неправильно скобки правые раскрыла
Ответ дал:
0
Точнее, ты сначала вычитание сделала, а нужно было умножение
Ответ дал:
0
А можешь занова решить и чтоб с решение полностью было
Ответ дал:
0
походу да... я ошиблась.... спасибо за замечание! в следующий раз учту при решении!!!
Ответ дал:
0
сейчас изменю свой ответ
Вас заинтересует
2 года назад
3 года назад
8 лет назад
8 лет назад