• Предмет: Алгебра
  • Автор: ayunatushentso
  • Вопрос задан 8 лет назад

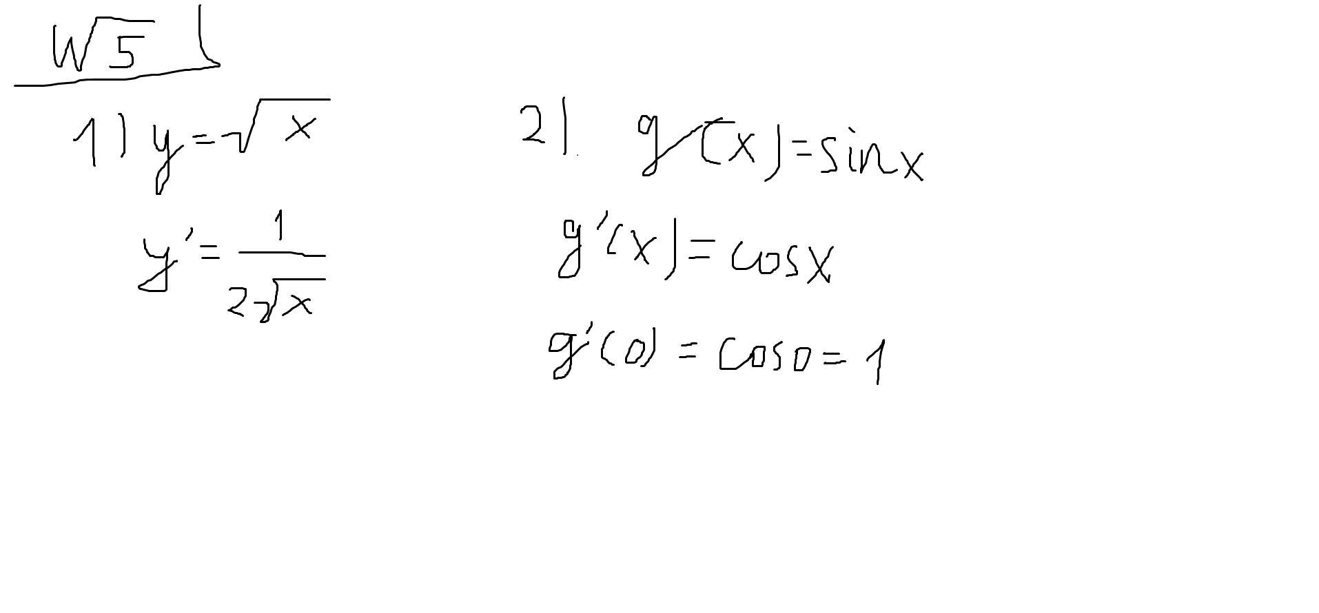
Решите пожалуйста любую карточку

Приложения:

Ответы

Ответ дал: GamaFunction
0

Відповідь:

Пояснення:

Приложения:
Вас заинтересует