• Предмет: Алгебра
  • Автор: maxsimon91
  • Вопрос задан 8 лет назад

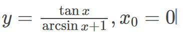
Подскажите как вычислить производную функции в точке x0 ?

Приложения:

Ответы

Ответ дал: lemgena
0

Ответ:

тебе нужно будет просто в дальнейшем решении взять у(0) и продолжить решать

Объяснение:

Вас заинтересует