Ответы
Ответ дал:
0
Ответ:
Пошаговое объяснение:
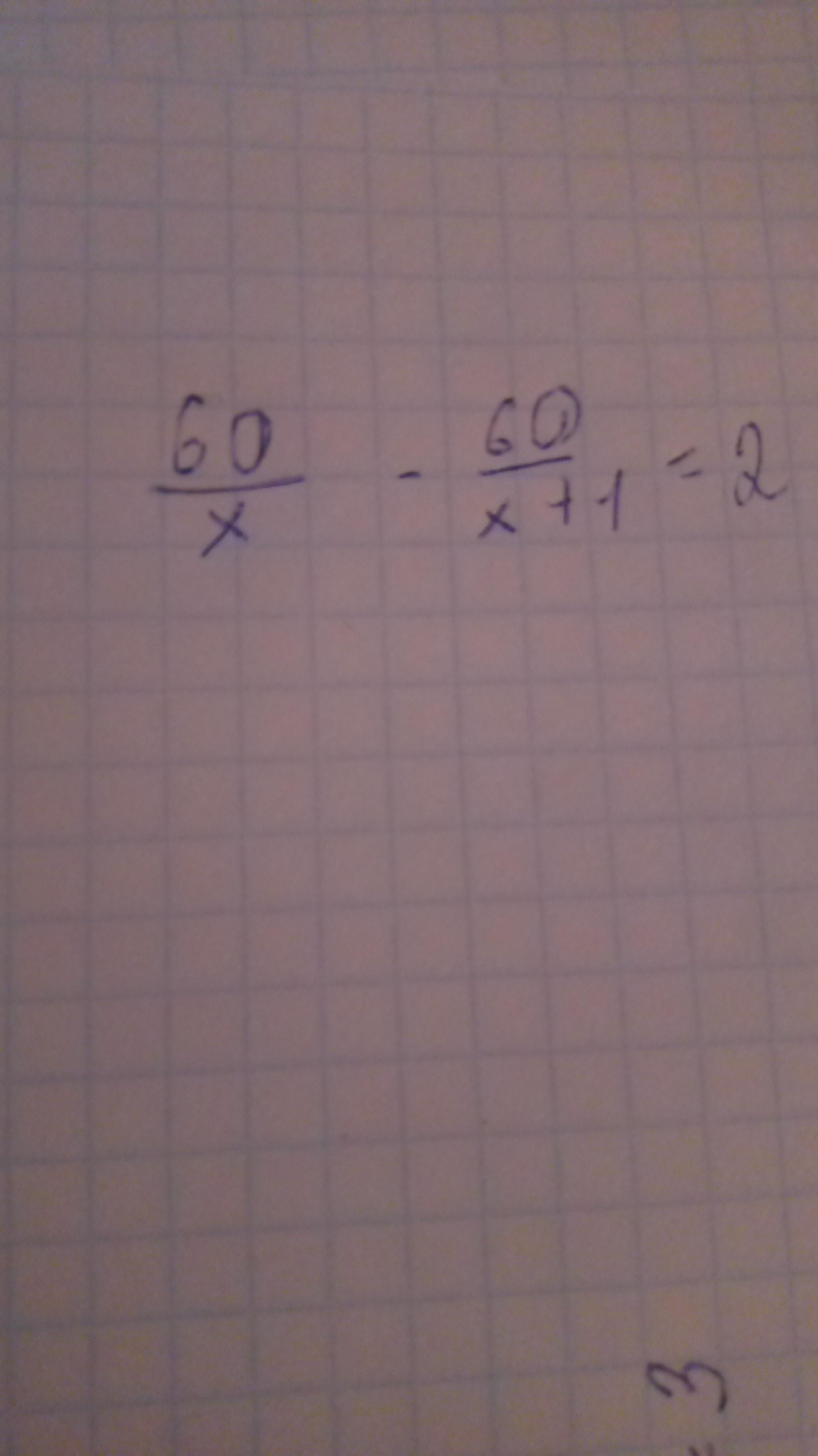
60х+60-60х=2х(х+1)
2х^2+2х-60=0
х^2+х-30=0
х1=-6
х2=5
Ответ дал:
0
Ответ:
все как то так
Приложения:

Вас заинтересует
2 года назад
3 года назад
3 года назад
8 лет назад
8 лет назад
9 лет назад