Ответы
Ответ дал:
0
Ответ:
Пошаговое объяснение:
Приложения:

Ответ дал:
0
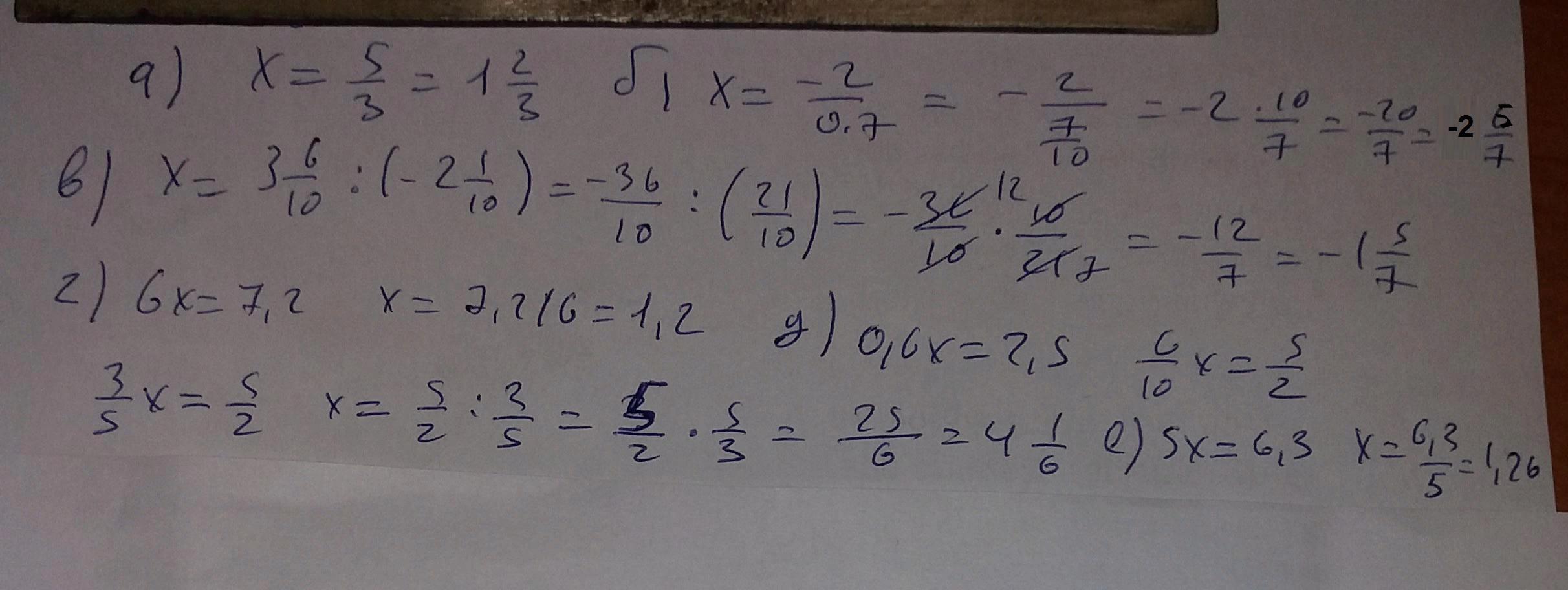
Уравнение б) решено неверно. Неверно выделена, на мой взгляд, целая часть из неправильной дроби.
Ответ дал:
0
исправил, спасибо за замечание
Ответ дал:
0
Ответ:
все во вложении
В примере е) на фото не поместился ответ x=1,26
Приложения:

Вас заинтересует
2 года назад
2 года назад
3 года назад
3 года назад
8 лет назад
9 лет назад