Ответы
Ответ дал:
0
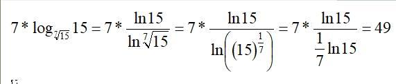
7*㏒(по основанию корень седьмой степени из 15) числа 15=
7*㏒₁₅¹/⁷15=(1/(1/7))*7㏒₁₅15=7*7*1=49
использовал свойство, ㏒ₓⁿаᵇ=(в/n)*㏒ˣа, только если про а ничего не известно, т.е. о знаке, тогда надо брать логарифм по модулю а, и еще
㏒₁₅15=1, т.к. 15¹=15
Ответ дал:
0
Ответ:
49
Пошаговое объяснение:
Приложения:

Вас заинтересует
2 года назад
3 года назад
3 года назад
8 лет назад
8 лет назад
9 лет назад
9 лет назад