• Предмет: Алгебра
  • Автор: mildil02
  • Вопрос задан 8 лет назад

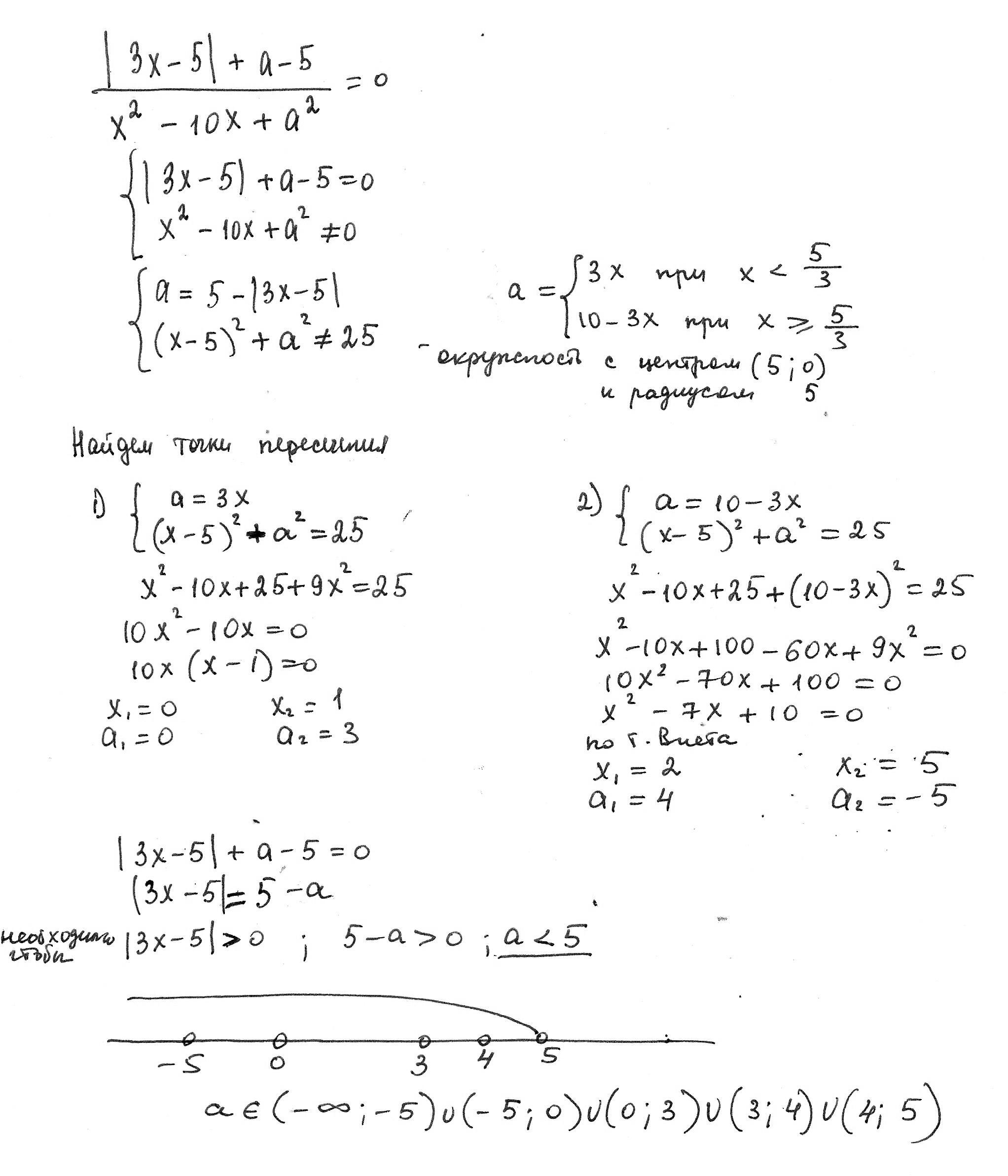
Найдите все значения a, при которых уравнение имеет ровно два различных корня.

Приложения:

Ответы

Ответ дал: maksimcat
0

Ответ:

a∈(-∞;-5)U(-5;0)U(0;3)U(3;4)U(4;5)

Объяснение:

Приложения:
Вас заинтересует