• Предмет: Алгебра
  • Автор: alinamuratova23958
  • Вопрос задан 8 лет назад

Вычислить пределы.
Очень срочно. Пожалуйста.

Приложения:

Ответы

Ответ дал: mmb1
0

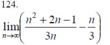
124

приводим к общему знасенателю

lim(n->∞) ((n^2+2n-1)/3n - n/3) = lim (n->∞)( n^2 + 2n - 1 - n^2)/3n = lim (n->∞) (2n-1)/3n ={делим на n числитель и знаменатель} = lim (n->∞) (2 - 1/n)/3 = (2 - 0)/3 = 2/3

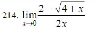
214

lim (x->0) (2 - √(4+x))/2x = домножаем на 2 + √(4+x) = lim (x->0) (2 - √(4+x))*(2 + √(4+x)))/2x(2 + √(4+x)) = lim(x->0) ( 4 - 4 - x)/2x(2 + √(4+x)) = lim(x->0) - x/2x(2 + √(4+x)) = - 1/2(2+√(4+0)) = 1/2(2+2) = 1/8

Вас заинтересует