• Предмет: Алгебра
  • Автор: frolovailia
  • Вопрос задан 8 лет назад

•••Помогите решить•••

Приложения:

Ответы

Ответ дал: Universalka
0

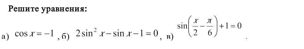
1)Cosx=-1\\x=pi+2pi n,nin z

2)2Sin^{2}x-Sinx-1=0\\Sinx=m;-1leq mleq 1\\2m^{2}-m-1=0\\D=(-1)^{2}-4*2*(-1)=1+8=9=3^{2}\\m_{1}=frac{1-3}{4}=-frac{1}{2}\\m_{2}=frac{1+3}{4}=1

1)Sinx=-frac{1}{2}\\x=(-1)^{n}arcSin(-frac{1}{2})+pi n,nin z\\x=(-1)^{n+1}frac{pi }{6}+pi n,nin z \\2)Sinx=1\\x=frac{pi }{2}+2pi n,nin z\\Otvet:(-1)^{n+1}frac{pi }{6}+pi n,nin z;frac{pi }{2}+2pi n,nin z

3)Sin(frac{x}{2}-frac{pi }{6}+1=0\\Sin(frac{x}{2} -frac{pi }{6})=-1\\frac{x}{2}-frac{pi }{6}= -frac{pi }{2}+2pi n,nin z\\frac{x}{2}=frac{pi }{6}-frac{pi }{2}+2pi n,nin z\\frac{x}{2}=-frac{pi }{3} +2pi n,nin z\\x=-frac{2pi }{3}+4pi n,nin z

Вас заинтересует