• Предмет: Математика
  • Автор: skeal777
  • Вопрос задан 8 лет назад

Помогите решить ,тема определенный интеграл

Приложения:

Ответы

Ответ дал: bearcab
0

Ответ:

первое задание

1) 129,6π кубических единиц

2) 4π кубических единиц

Второе задание

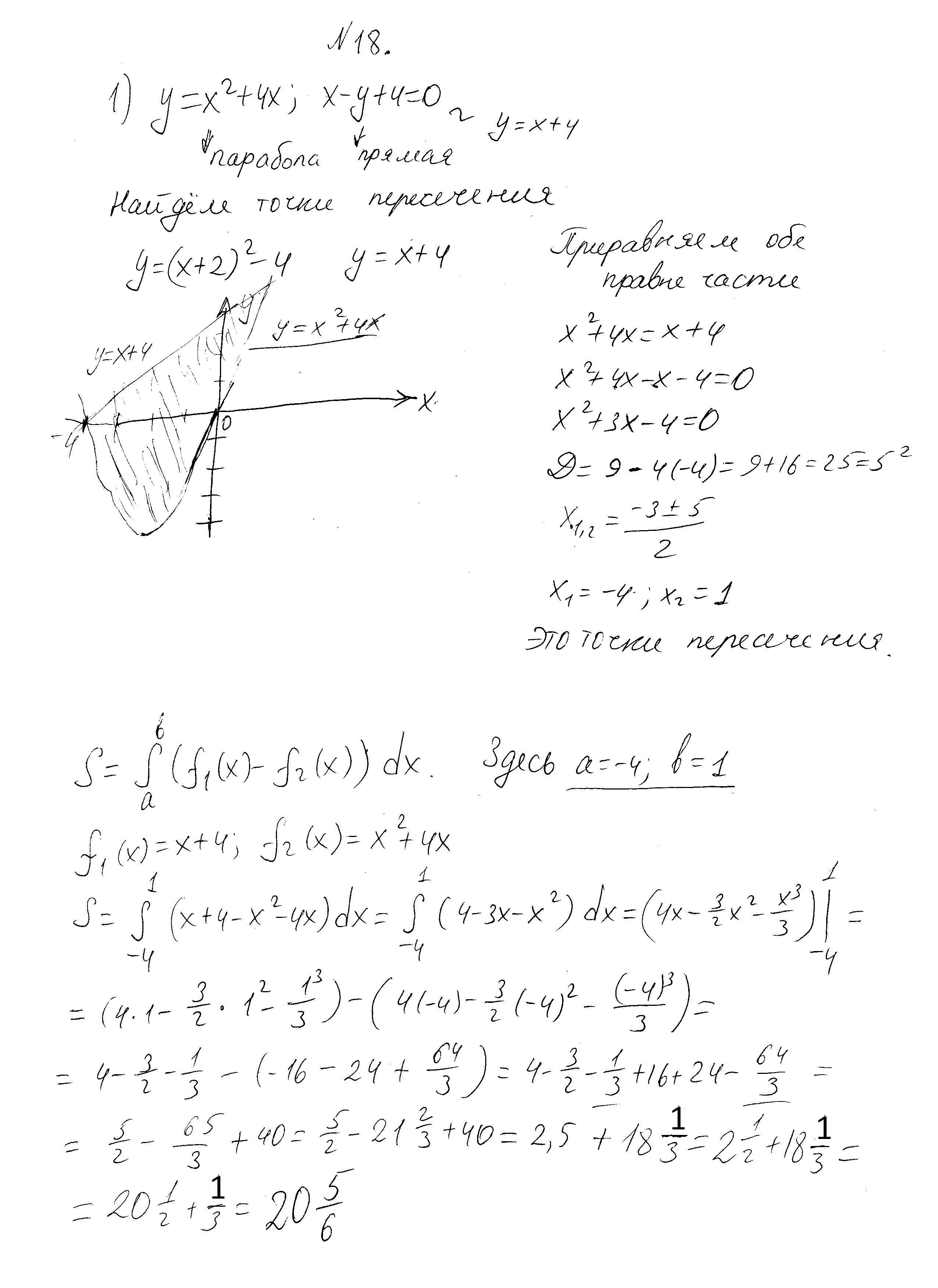
1) 20frac{5}{6}

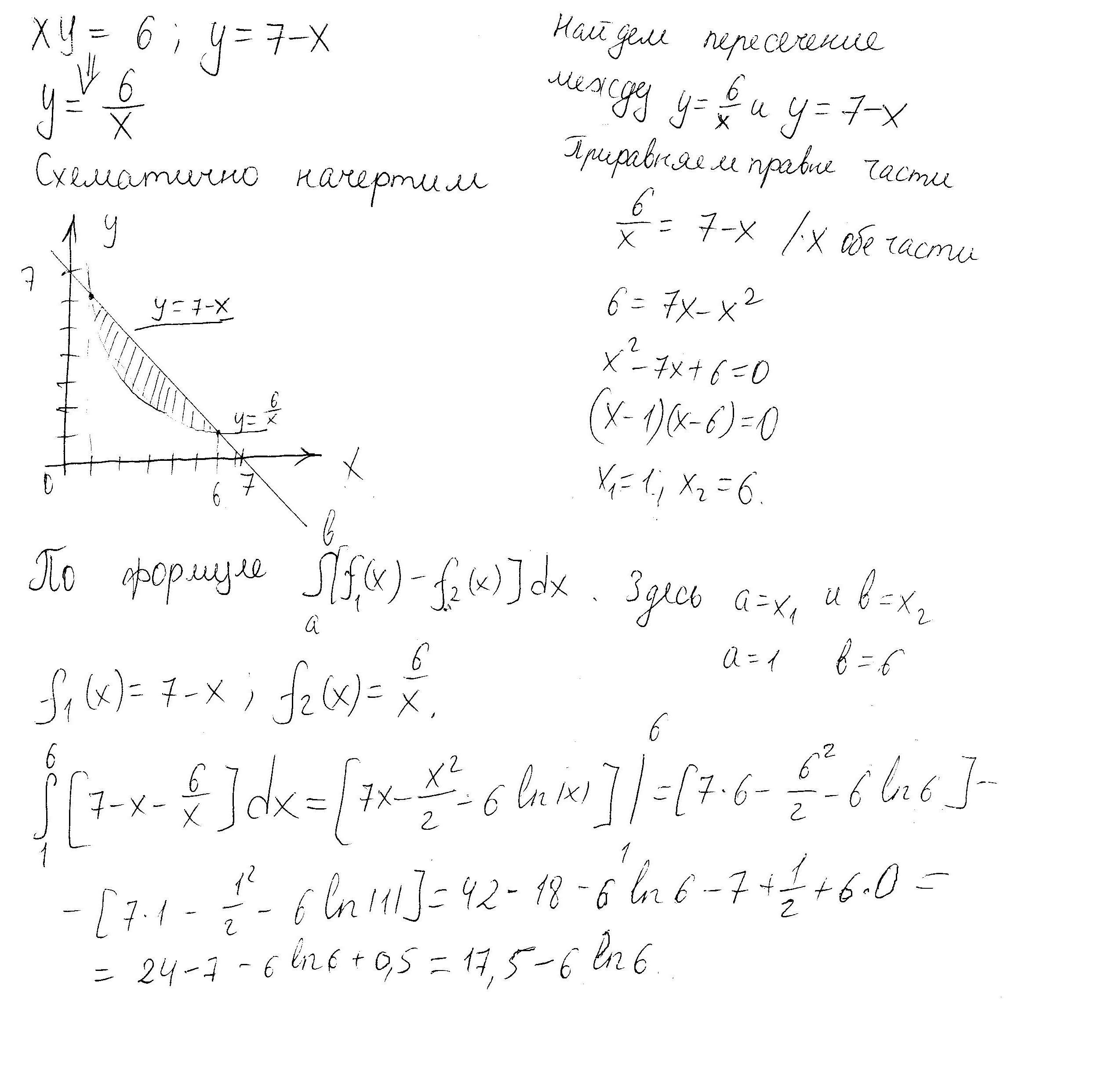
2) 17,5-6㏑6

на третьего задания на 4-м листе

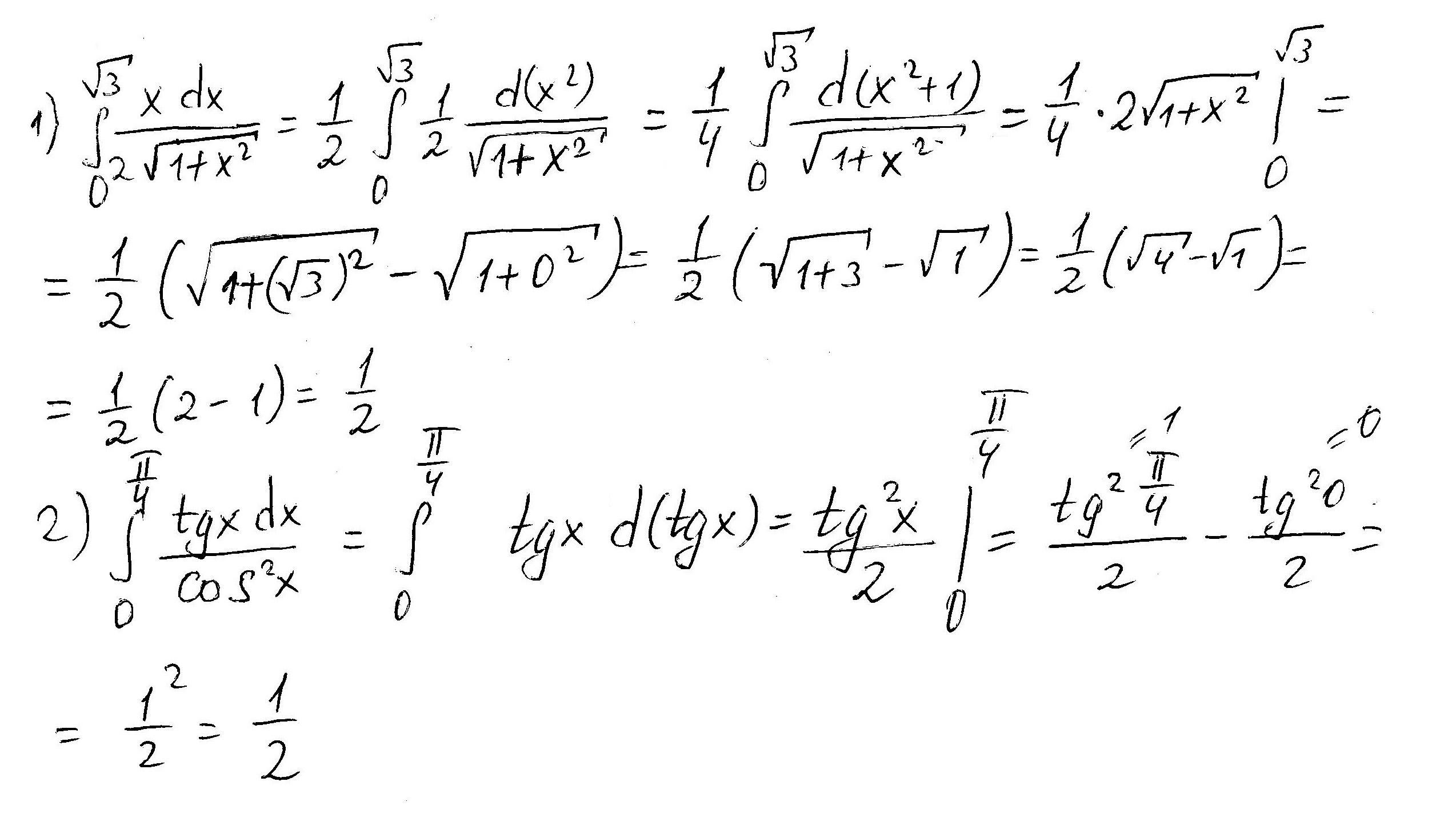
1) 0,5

2) 0,5

Пошаговое объяснение:

Решение в приложении

Приложения:
Вас заинтересует