Ответы
Ответ дал:
0
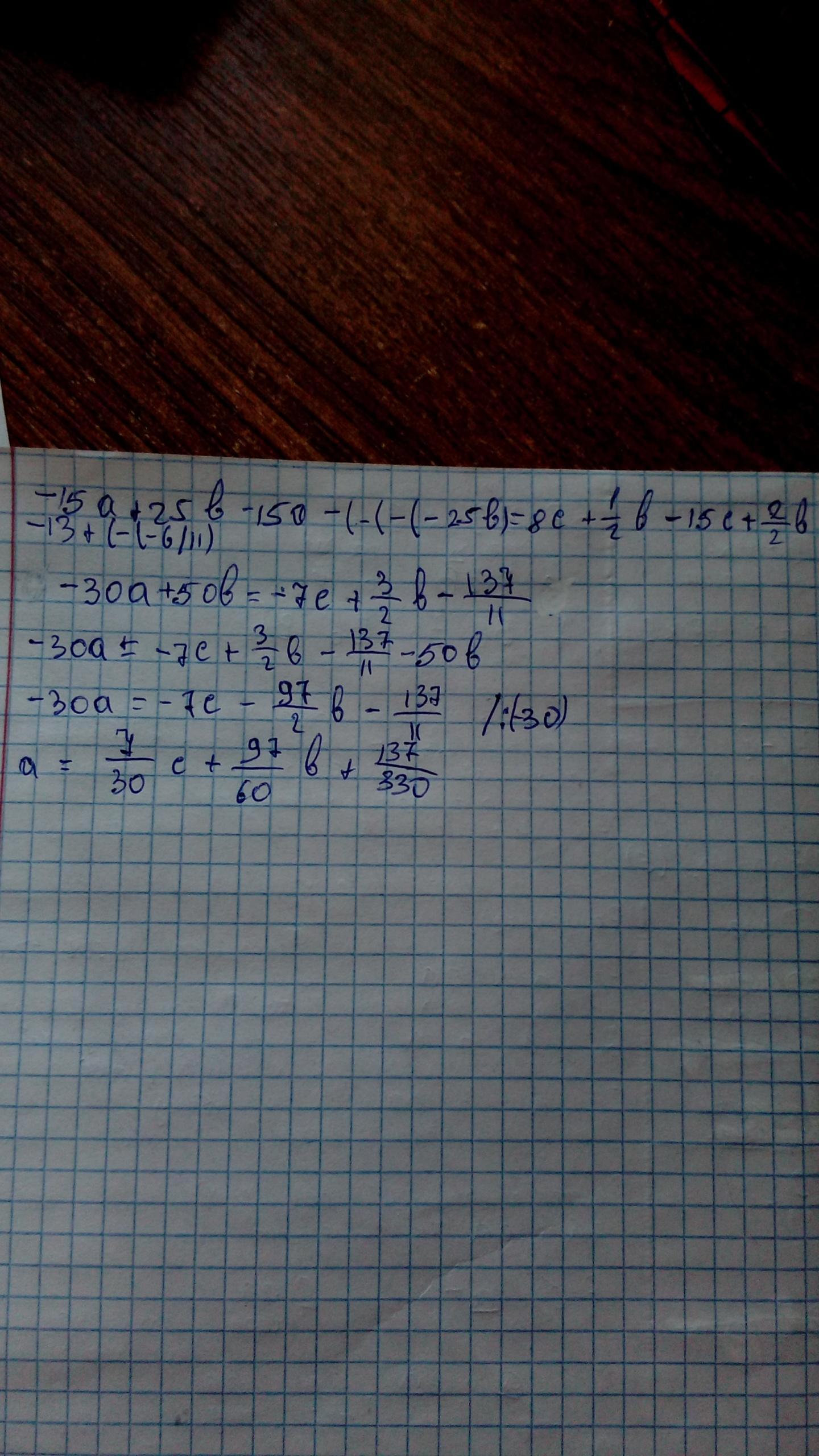
Ответ:a=7/30c+97/60b+137/330
Пошаговое объяснение:
Объяснение в приклепленном фото
Приложения:

Вас заинтересует
2 года назад
2 года назад
8 лет назад
8 лет назад
9 лет назад