Ответы
Ответ дал:
0
Ответ:
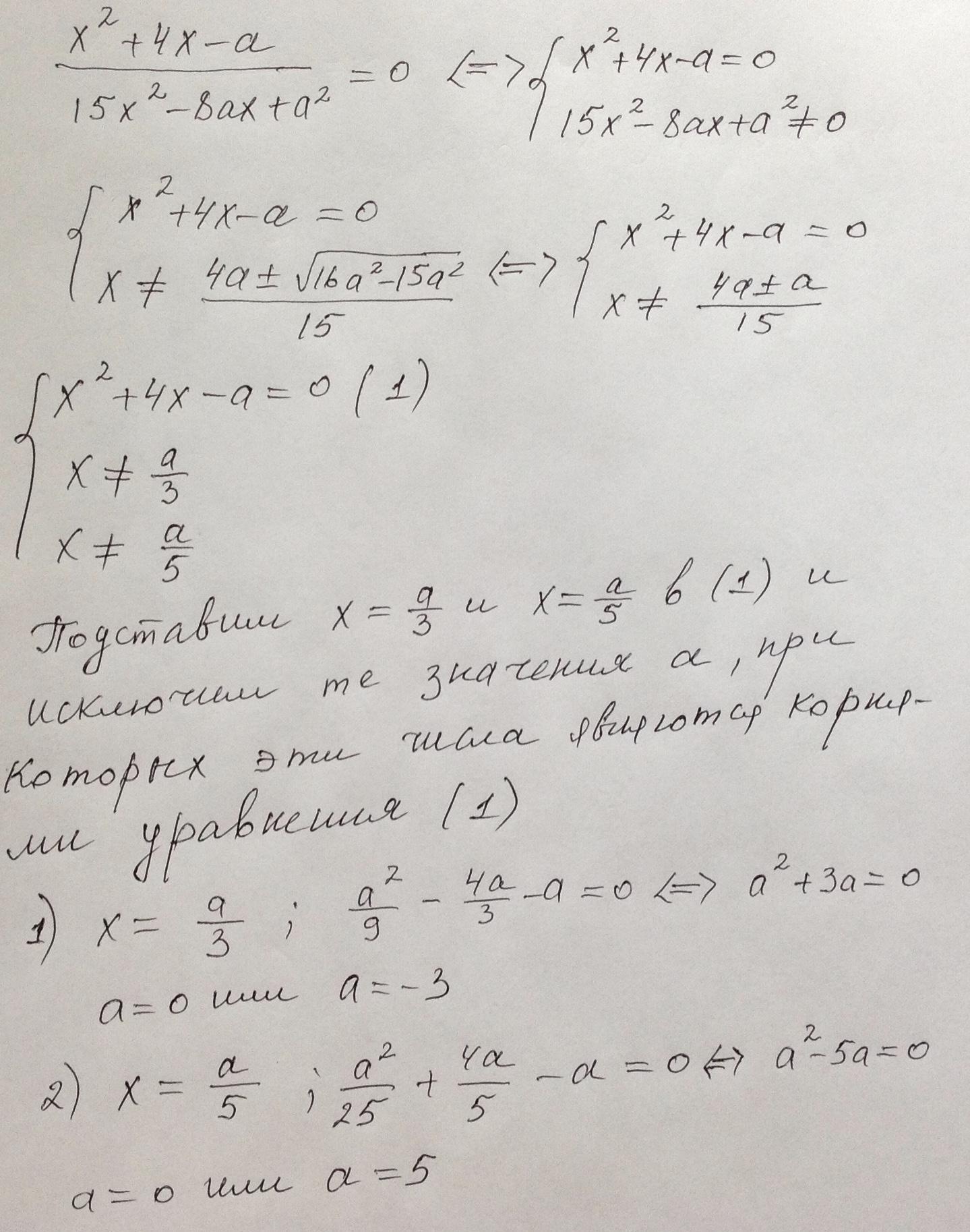
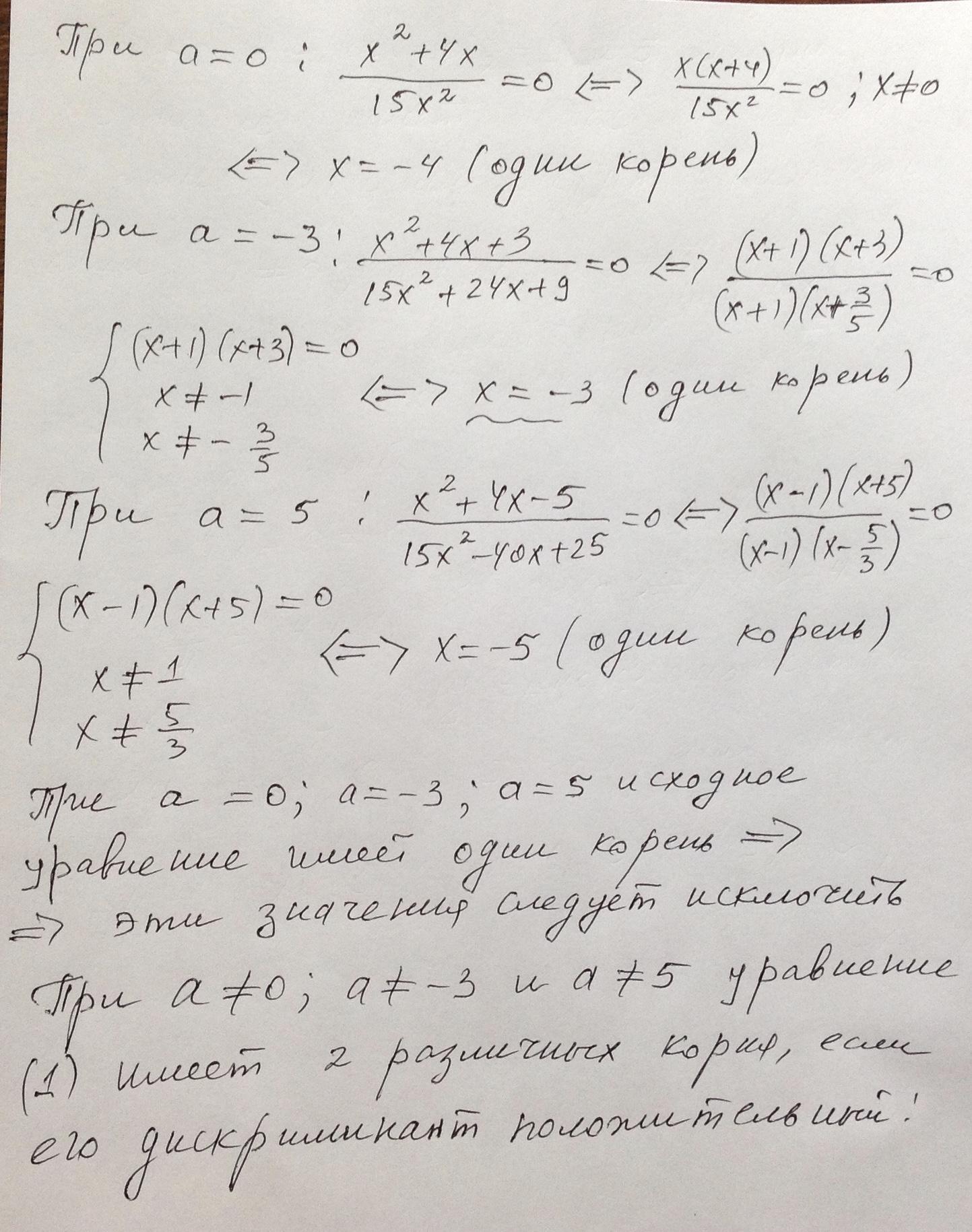
( - 4 ; -3 ) ∪ ( -3 ; 0 ) ∪ ( 0 ; 5 ) ∪ ( 5 ; +∞ )
Пошаговое объяснение:
Приложения:



Ответ дал:
0
можно не подставлять 0 , -3 и 5 в исходное уравнение , достаточно было указать , что при этих а оно имеет менее двух корней , это я перестраховался
Вас заинтересует
2 года назад
2 года назад
3 года назад
3 года назад
8 лет назад
8 лет назад
9 лет назад