• Предмет: Математика
  • Автор: ulia676700
  • Вопрос задан 8 лет назад

(1+y)dx=2xdy x=1 y=4 РЕШИТЕ ПОЖ

Ответы

Ответ дал: Karasev12101976
0

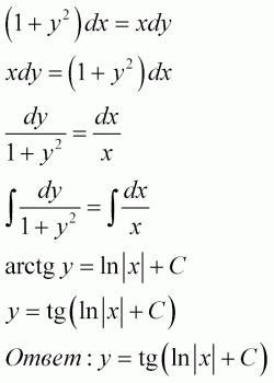
Ответ:

Пошаговое объяснение:

Приложения:
Вас заинтересует