• Предмет: Математика
  • Автор: wenera22
  • Вопрос задан 8 лет назад

Упростить.Подробное решение.
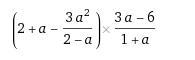
(2+a-(3a^2)/(2-a))*((3a-6)/(1+a))

Приложения:

Ответы

Ответ дал: MatAlgGeomRus
0

(2 + a - (3a^2)/(2-a)) × ((3a-6)/(1+a))

приведём к общему знаменателю в первой скобке:

((2 (2-а) + а (2-а) - 3а^2)/(2-а)) × ((3a-6)/(1+a))

раскроем скобки

((4 - 2а + 2а - а^2 - 3а^2)(2-а)) × ((3a-6)/(1+a))= ((-4а^2 + 4)(2-а)) × ((3a-6)/(1+a))= ((-4 (а^2 - 1))/(2-а)) × ((3 (а-2))/(1+а))= ((-4 (а - 1)(а+1))/(2-а)) × ((3 (а-2))/(1+а))

перемножим:

((-4 (а-1)(а+1)×3(а-2))/((2-а)×(1+а))= ((-4 (а-1)×(-3 (2-а)))/(2-а)= -4 (а-1)×(-3)= -12 (а-1)= -12а + 12

ответ: -12а + 12

Ответ дал: binamaksimchuk
0

Ответ:

Пошаговое объяснение:

(2+а)(2-а)-3а² /2-а  × (3a-6)/(1+a)=4-а²-3а²  /2-а  ×  3(а-2)/1+а=

= -(4-4а²) /а-2 × 3(а-2)/1+а= -(3*4(1-а²) ) /1+а= -(3*4(1-а)(1+а) ) /1+а=

= -12(1-а)=-12+12а =12-12а

Вас заинтересует