• Предмет: Математика
  • Автор: berbbbb
  • Вопрос задан 8 лет назад

Помогите пожалуйста!

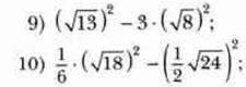
Найдите значение выражения:

Приложения:

Ответы

Ответ дал: Kiruxa23
0

1. (sqrt{13} ^{2} )-3*(sqrt{8}^2)=13-3*8=13-24=-11

2. frac{1}{6} *(sqrt{18}^2)-(frac{1}{2} sqrt{24}^2)=frac{1*18}{6} -frac{1*24}{2} =3-12=-9

Вас заинтересует