• Предмет: Математика
  • Автор: rumantony
  • Вопрос задан 8 лет назад

Помогите 20 баллов даю

Приложения:

Ответы

Ответ дал: zzhash
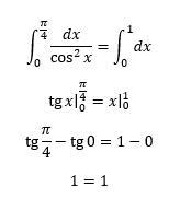
0

Верное равенство, ага.

Приложения:
Вас заинтересует