• Предмет: Алгебра
  • Автор: fyd5dfg
  • Вопрос задан 8 лет назад

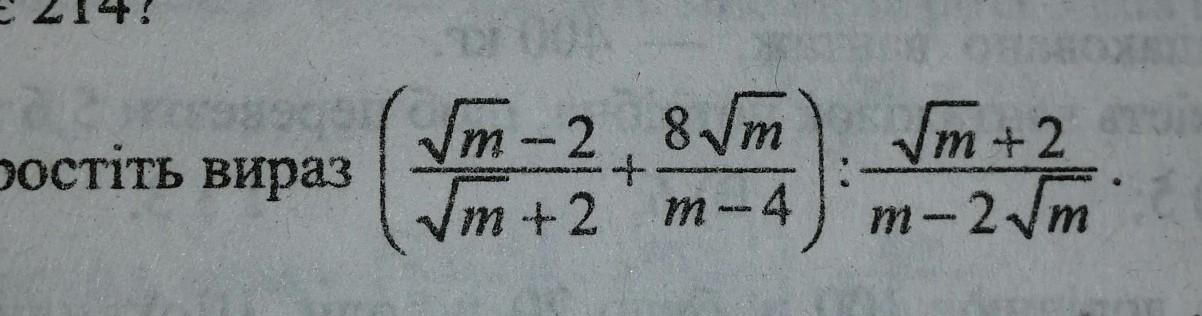
задание 2. 3. помогите, упростит выражение​

Приложения:

Ответы

Ответ дал: bel72777
0

Ответ:

Объяснение:

((√m -2)^2 +8√m)/((√m -2)(√m +2))  ×√m(√m -2)/(√m +2)=√m(m-4√m +4+8√m)/((√m +2)(√m +2))=√m(m+4√m +4)/(m+4)=√m(√m +2)^2 /(√m+2)^=√m

Вас заинтересует