• Предмет: Алгебра
  • Автор: sofiariazanova1525
  • Вопрос задан 8 лет назад

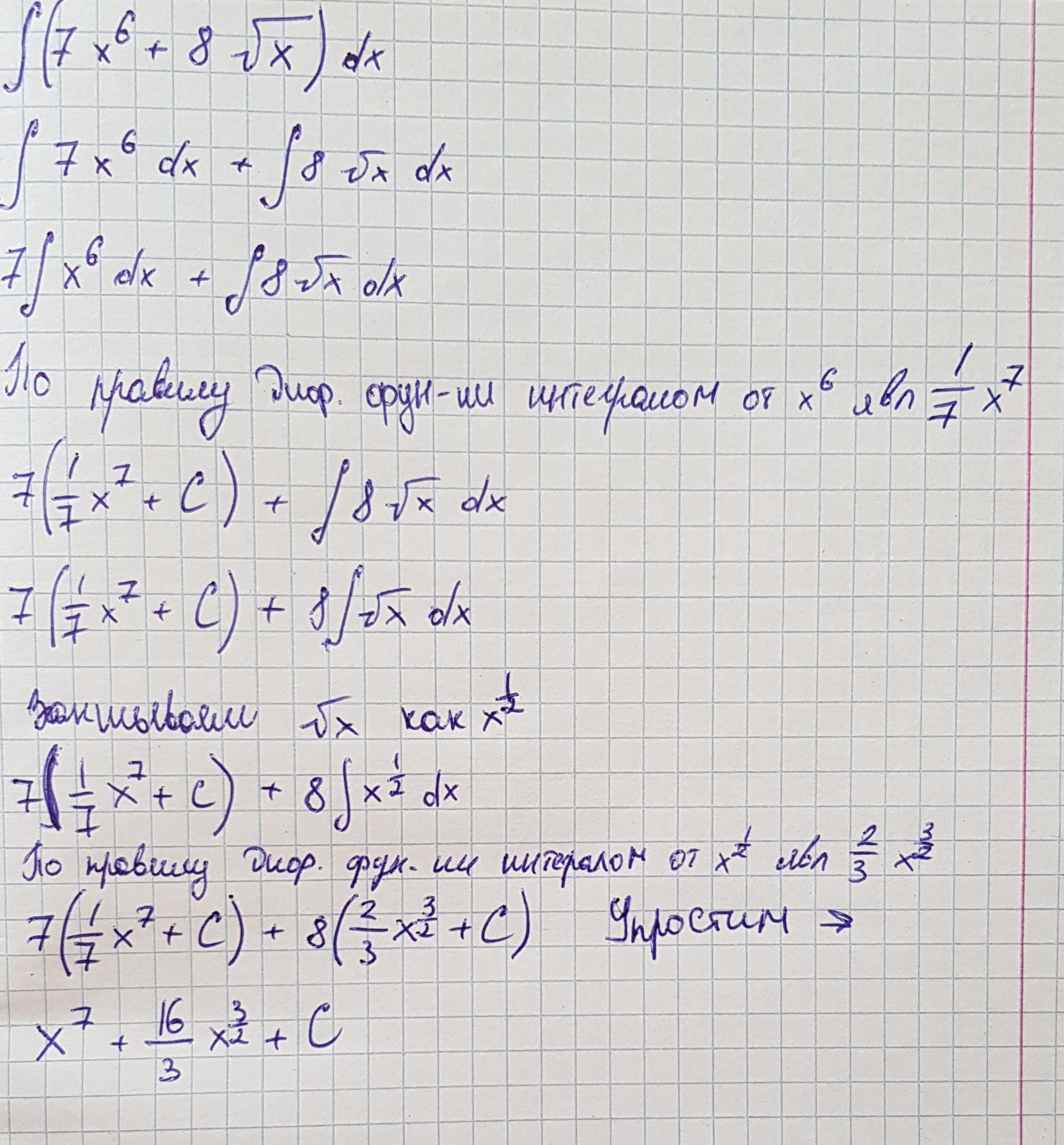
Решите интеграл пожалуйста

Приложения:

Ответы

Ответ дал: Янааа0
0

Решение в приложении

Приложения:
Вас заинтересует