• Предмет: Математика
  • Автор: yulechka076
  • Вопрос задан 8 лет назад

Помогите пожалуйста сделать
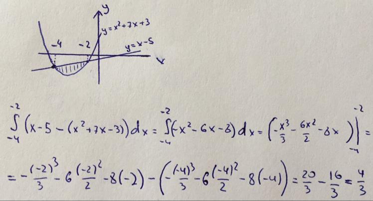
Вычислить площадь фигуры
Даю 85 баллов)

Приложения:

Ответы

Ответ дал: Ежевика10
0
Смотри решение на фото
Ответ:4/3
Приложения:
Вас заинтересует