• Предмет: Алгебра
  • Автор: abraxsasu
  • Вопрос задан 8 лет назад

Геометрическая прогрессия
Помогите пожалуйста

Приложения:

Ответы

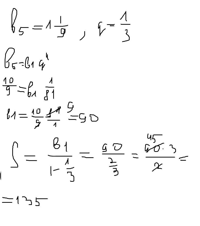
Ответ дал: Аноним
0

Ответ:

Объяснение:

ВОТ

Приложения:
Вас заинтересует