Ответы
Ответ дал:
0
Ответ:
Объяснение:
----------------------
Приложения:

Ответ дал:
0
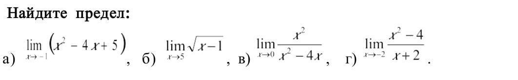
а) подставим вместо х число -1, получим (-1)²-4*(-1)+5=6+4=10
б) подставим вместо х число 5, получим √(5-1)=2
в) вынесем в числителе и знаменателе х и сократим на него, получим предел от х/(х-4) при х стремящемся к нулю, получим 0/(0-4)=0
г) Разложим числитель как разность квадратов и сократим дробь, получим (х-2)*(х+2)/(х+2)=х-2, теперь можно брать предел, он будет равен -2-2= - 4
Приложения:

Вас заинтересует
2 года назад
3 года назад
3 года назад
8 лет назад
8 лет назад
9 лет назад