• Предмет: Математика
  • Автор: akishinyura21
  • Вопрос задан 8 лет назад

(В1). Решите систему линейных уравнений указав в ответе сумму найденных корней:

только не с инета и не с фото мача

Приложения:

Ответы

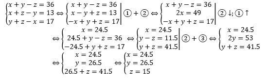
Ответ дал: zzhash
0

Написал детально, только не указав, когда делил уравнения на числа или прибавлял к обоим сторонам одно и то же число... Цифры в кружочках - номера уравнений.

Приложения:
Ответ дал: zzhash
0
x+y+z=66
Вас заинтересует