• Предмет: Математика
  • Автор: sparta1637
  • Вопрос задан 8 лет назад

Помагите
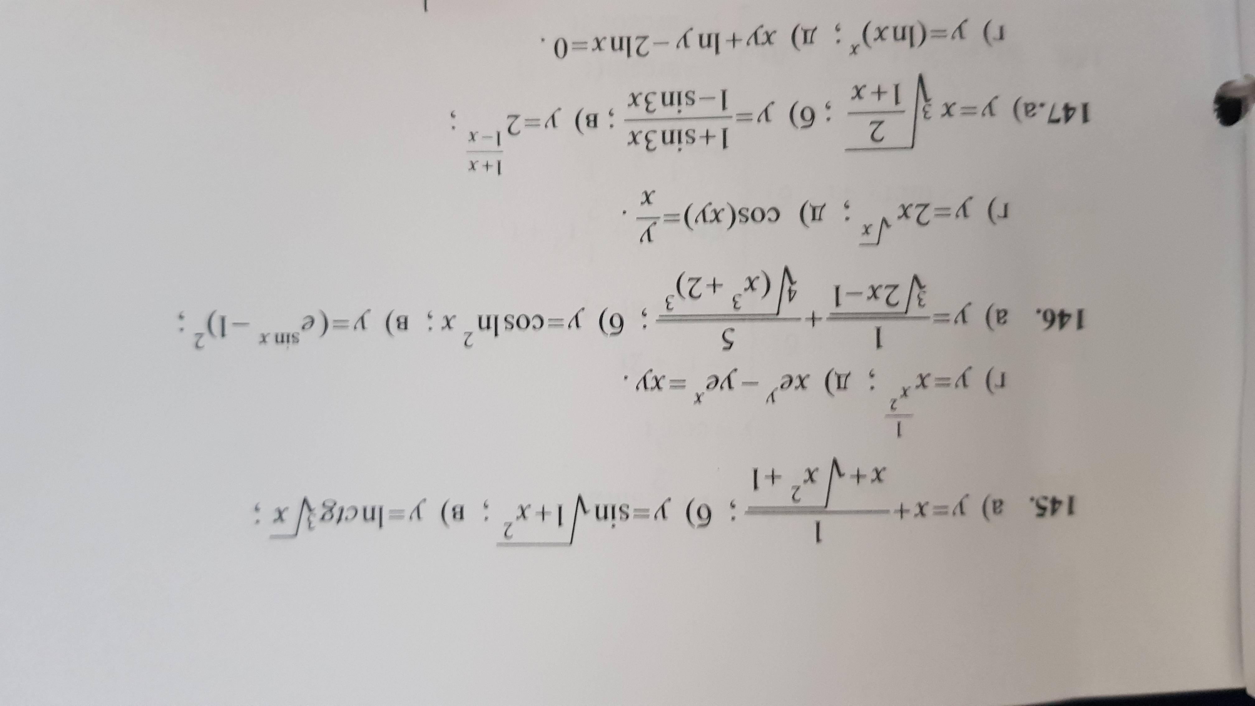
Найти производную dy/dx данных функций 146 задание пункт г

Приложения:

Ответы

Ответ дал: Хуqожнuк
0

Решение во вложении.

Приложения:
Ответ дал: takushnir
0

у=2*х в степени х.

пример на логарифмическое дифференцирование.

у/2=х в степени √х, возьмем предварительно логарифм натуральный от обеих частей, получим ㏑(у/2)=㏑(х в степени √х) правая часть по свойству логарифма может быть переписана как √х* (㏑(х))

теперь возьмем производную от обеих частей. помня, что у - сложная функция; а справа производная от произведения;

1/(у/2)*у штрих=(1/(2√х))*(㏑(х))+√х/х

2у штрих/у=(㏑(х))/(2√х)+(√х/х)

у штрих равен (у/2)*((㏑(х))/(2√х)+(√х/х)), подставим вместо у данное в условии выражение, получим ответ.

у штрих =((2/2)*х в степени √х)*((㏑(х))/(2√х)+(√х/х))

у штрих =( х в степени √х)*((㏑(х))/(2√х)+(√х/х))

Приложения:
Вас заинтересует