• Предмет: Алгебра
  • Автор: Tomoki
  • Вопрос задан 8 лет назад

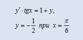
Найдите частное решение дифференциального уравнения, удовлетворяющее начальному условию. Заранее спасибо.

Приложения:

Ответы

Ответ дал: alkorb
0

frac{dy}{dx} *frac{sinx}{cosx} =1+y\ \ intfrac{dy}{1+y} =intfrac{cosx}{sinx}dx\ \ ln|1+y|=intfrac{d(sinx)}{sinx}\ \ ln|1+y|=ln|sinx|+ln|C| \ \ 1+y=Csinx \ y=Csinx-1 \ \ |y(frac{pi}{6})=-frac{1}{2}| \ \ -frac{1}{2}=Csinfrac{pi}{6}-1 \ \ -frac{1}{2}=C*frac{1}{2}-1  |*2 \ \ -1=C-2 \ C=1 \ \ OTBET:  y=sinx-1

Вас заинтересует