ЭДС элемента 1.5В ток его короткого замыкания 30 А. Какой будет напряжение на зажимах элемента, если его соединить с сопротивлением нагрузки величиной 1.45 Ом?
Ответы
Ответ дал:
0
Ответ:
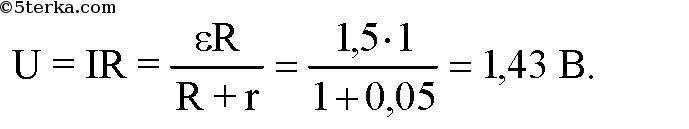
ЭДС сухого элемента 1,5 В. Ток короткого замыкания равен 30 А. Чему равно внутреннее сопротивление элемента? Каким будет напряжение на его полюсах, если замкнуть элемент на катушку сопротивлением 1 Ом
Объяснение:
Приложения:


Ответ дал:
0
пожалуйста, дай нормальный ответ
Ответ дал:
0
Подставь в место "1 ом" свое "1.45 ом" , мне засчитали
Ответ дал:
0
а где конечный результат?
Ответ дал:
0
2 пикча ...
Ответ дал:
0
там две единицы
Вас заинтересует
2 года назад
2 года назад
3 года назад
3 года назад
8 лет назад