• Предмет: Алгебра
  • Автор: appeh
  • Вопрос задан 8 лет назад

Был бы благодарен! Хотя бы понять способ решения..там бы дальше уже сам..заранее спасибо""

Приложения:

Ответы

Ответ дал: mishanyazhuravlev
0

Ответ:

Объяснение:

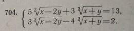
в 704 делаешь замену (x-2y)^(1/3)=u; (x+y)^(1/3)=v. Решаешь относительно этих переменных потом обратная замена и находишь x, y. В 713 аналогично: заменяешь, решаешь, обратная замена и снова решаешь

Вас заинтересует