• Предмет: Математика
  • Автор: olenkaparanduk
  • Вопрос задан 8 лет назад

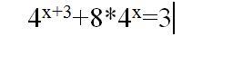
помогите пожалуйста уравнение решить!!

Приложения:

Ответы

Ответ дал: Маряруся
0

 {4}^{3}  times  {4}^{x}  + 8 times  {4}^{x}  -  3 = 0 \  {4}^{x}  = t \ 64t + 8t - 3 = 0 \ 72t = 3 \ t =  frac{1}{24}  \  {4}^{ х }  = 1/24

Ответ: нет корней

Вас заинтересует