• Предмет: Алгебра
  • Автор: lyubovkrasavitsa
  • Вопрос задан 8 лет назад

Помогите срочно пожалуйста[email protected]

Приложения:

Ответы

Ответ дал: Jeannee
0

Объяснение:

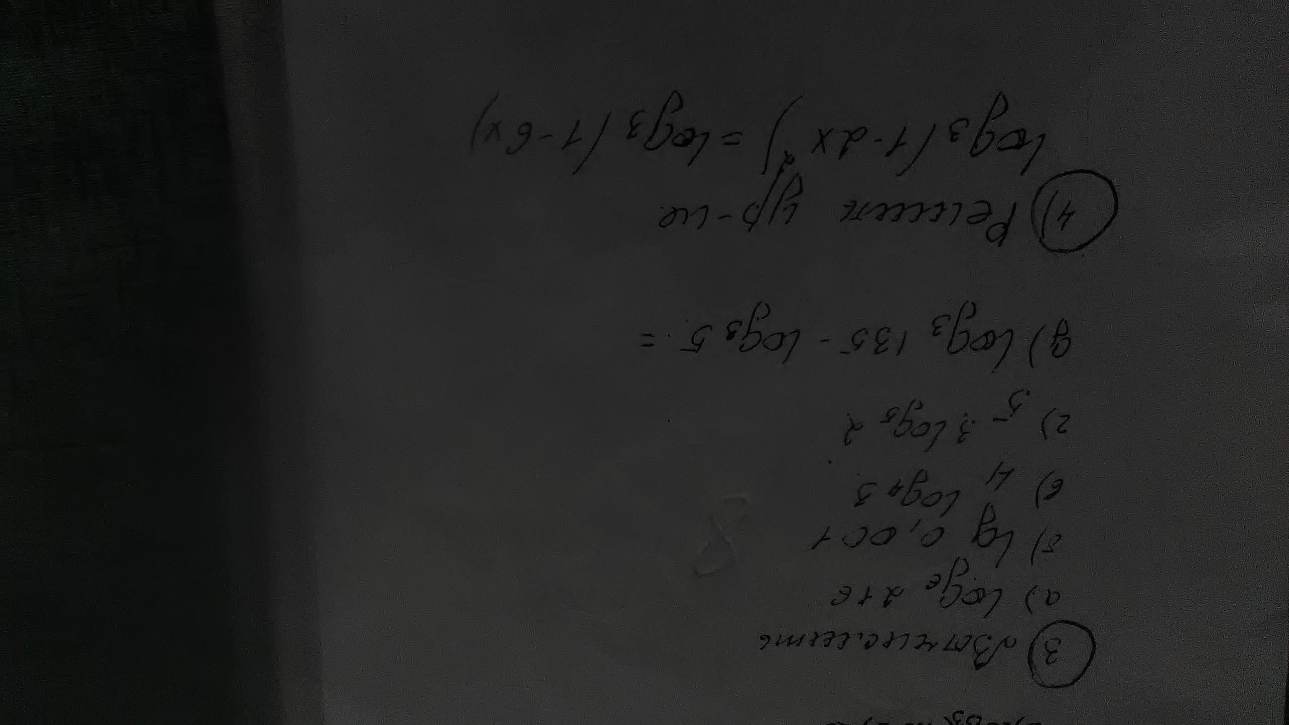
3 задание

а) log6 6³= 3

b) log10 10-log10 10000= 1-log10 10⁴= 1-4=-3

в) 3

г) 8

д)135/5= 27

4 задание

логарифмы отбрасываются

1-2х²=1-6х

-2х²+6х=0

2х(-х+3)=0

2х=0

х=0

и

-х-3=0

х=3

Вас заинтересует