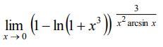
Вычислить пределы функций, используя I, II замечательные пределы и эквивалентность БМФ.
Приложения:

Ответы
Ответ дал:
0
При
;
Таким образом, можно переписать предел:
; Удобно сделать замену:
; Предел получится таким:
; Воспользуемся следующим фактом:
При этом
; Тогда:
; Последний предел очевиден:
Вас заинтересует
3 года назад
3 года назад
8 лет назад