• Предмет: Математика
  • Автор: LimoniaN
  • Вопрос задан 8 лет назад

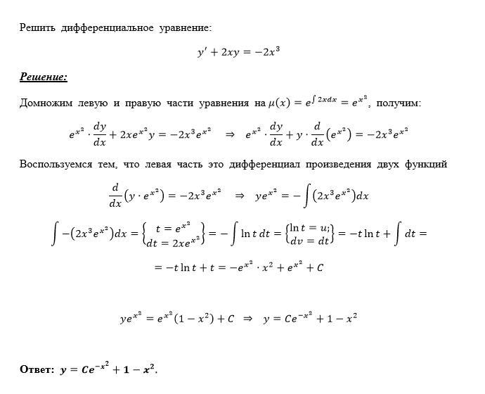
Найти общее решение дифференциального уравнения:

y' + 2xy = -2x^3

Ответы

Ответ дал: Correlation
0

Решение смотрите на фото.

Приложения:
Вас заинтересует