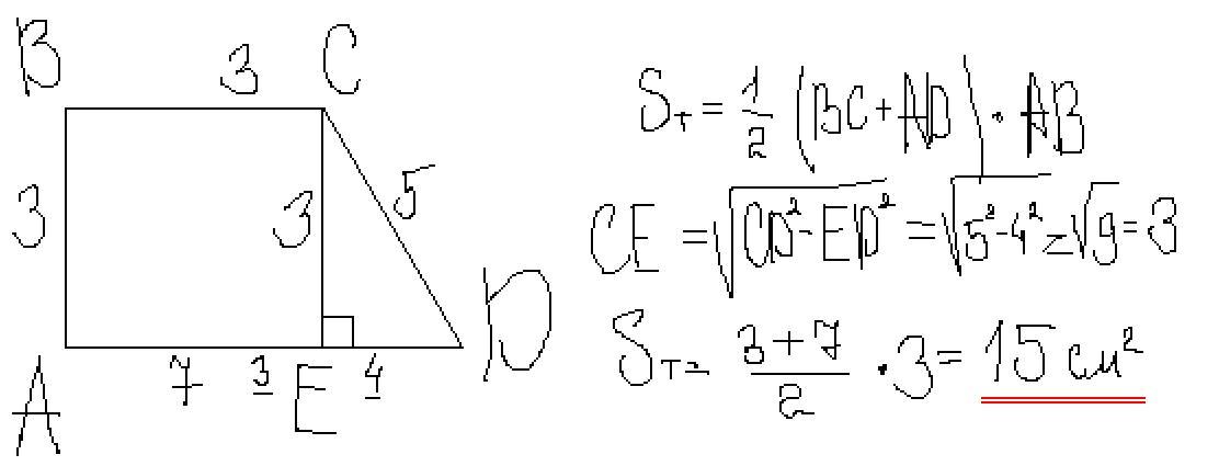
основания прямоугольной трапеции равны 3см и 7см, а большая боковая сторона 5 см. найдите площадь
Ответы
Ответ дал:
0
Ответ:
Разность оснований - 7 - 3 = 4
По теореме пифагора находим высоту. Там классический египетский треугольник 3, 4, 5. можно пересчитать. Высота 3
Далее полусумма оснований на высоту: 15
то есть( 3 + 7) * 3/2 = 15
Ответ дал:
0
Ответ на приложенном фото:
Приложения:

Вас заинтересует
2 года назад
2 года назад
3 года назад
3 года назад
8 лет назад