• Предмет: Алгебра
  • Автор: 20Елизавета02
  • Вопрос задан 8 лет назад

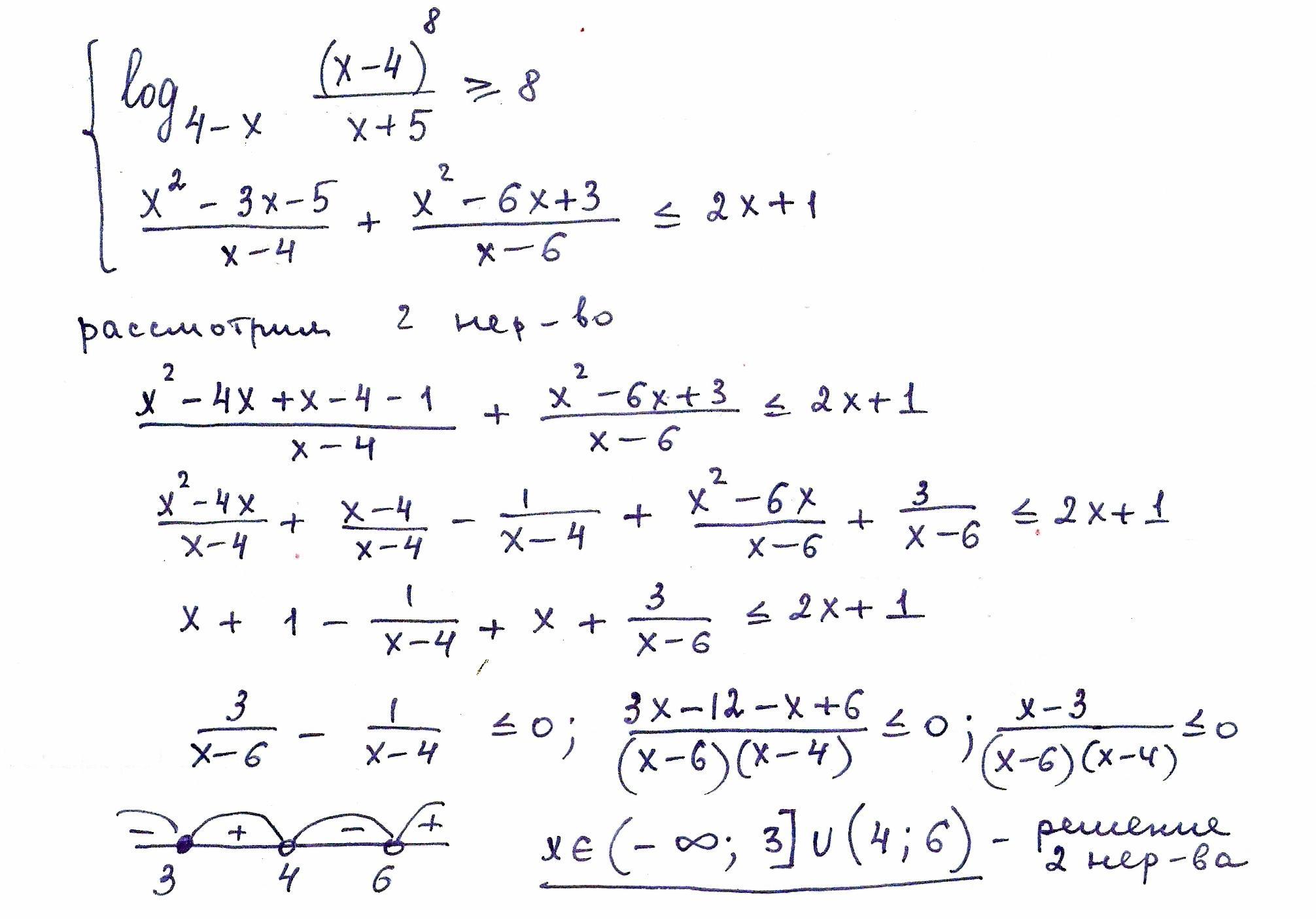
Решите систему неравенств

Приложения:

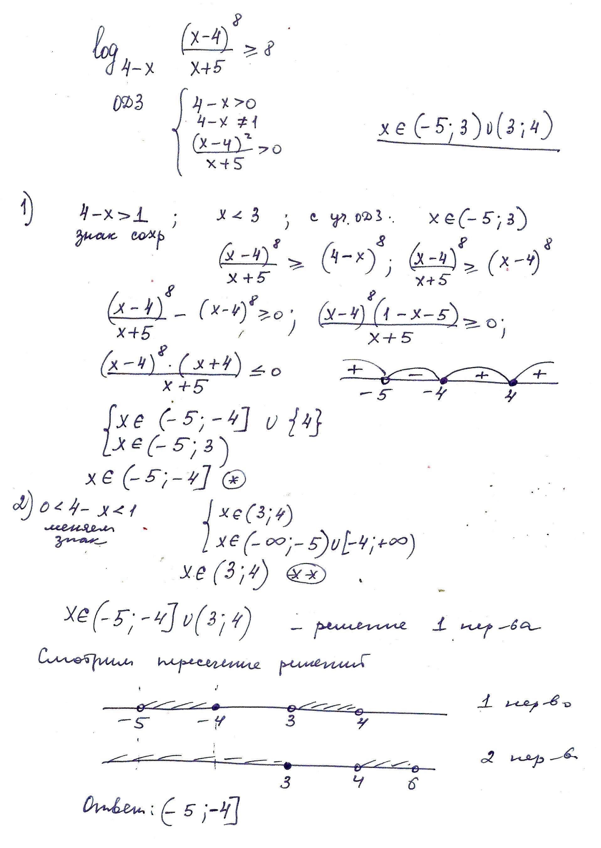
Ответы

Ответ дал: maksimcat
0

Ответ:

(-5;-4]

Объяснение:

Приложения:
Ответ дал: Simba2017
0
у вас же в одз 4 не входит, почему в ответ вошла?
Ответ дал: maksimcat
0
4 Не вошла в ответ
Ответ дал: maksimcat
0
(-5;-4]
Вас заинтересует