• Предмет: Математика
  • Автор: hmilova
  • Вопрос задан 8 лет назад

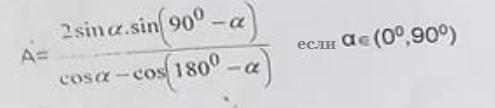
Упростить выражение А, используя формулы для тригонометрических преобразований

Приложения:

Ответы

Ответ дал: OLVIK1975
0

Ответ:

sinα

Пошаговое объяснение:

(2sinαcosα)/(cosα+cosα) = (2sinαcosα)/(2cosα) = sinα

Ответ дал: hmilova
0
большое спасибо
Вас заинтересует