• Предмет: Алгебра
  • Автор: korovin76
  • Вопрос задан 8 лет назад

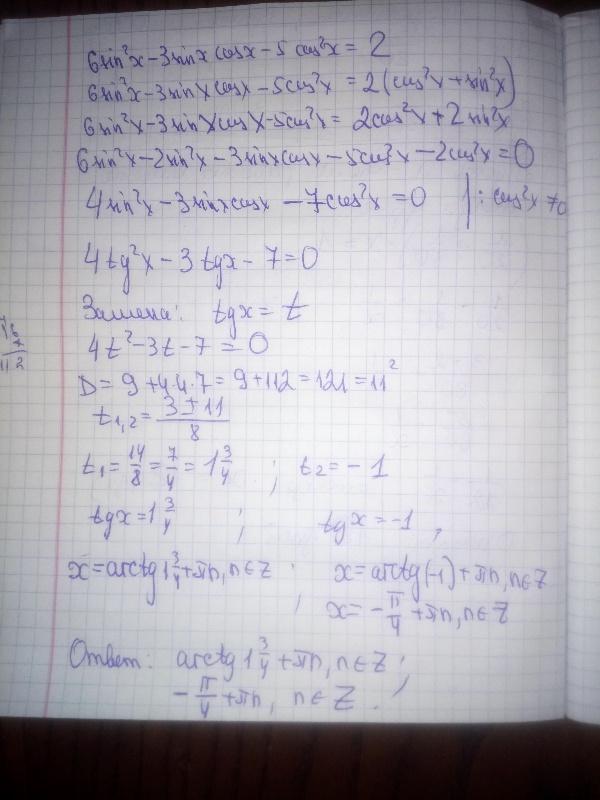
Помогите решить уравнение срочно!

Приложения:

Ответы

Ответ дал: valenivan
0

Відповідь:

Пояснення: фото

Приложения:
Вас заинтересует