• Предмет: Математика
  • Автор: bazzzzz
  • Вопрос задан 8 лет назад

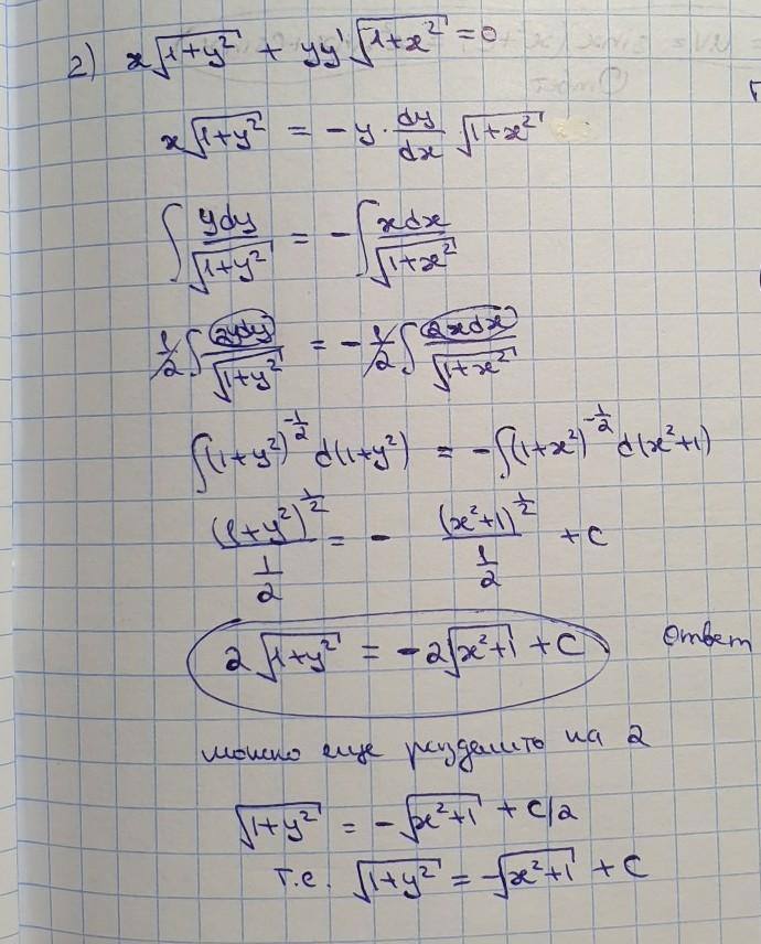
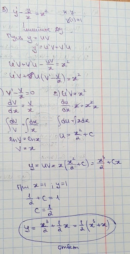
Помогите пожалуйста решить. 1 и 2 пример решение дифференциальных уравнений с разделяющимися переменными, а 3 и 4 пример решение неоднородных дифференциальных уравнений методом Бернулли. Помогите пожалуйста, с подробным решение пожалуйста

Приложения:

Ответы

Ответ дал: Miroslava227
0

Ответ:

решение на фотографиях

Приложения:
Вас заинтересует