• Предмет: Математика
  • Автор: tugeef
  • Вопрос задан 8 лет назад

Люди тема: Синусы,косинусы,тангенсы,котангенсы.
Я вас очень прошу обьяснить как вы решили данный пример

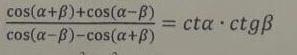
Приложения:

Ответы

Ответ дал: newTrollR
0

Пошаговое объяснение:  

cos(alpha+beta) = cosalpha cosbeta - sinalpha sinbeta\cos(alpha -beta) = cosalpha cosbeta - sinalpha sinbeta\

Получаем:

(cosalpha cosbeta - sinalpha sinbeta + cosalpha cosbeta+sinalpha sinbeta)/(cosalpha cosbeta + sinalpha sinbeta - cosalpha cosbeta + sinalpha sinbeta) = 2cosalpha cosbeta/ 2sinalpha sinbeta = ctgalpha ctgbeta

Вас заинтересует