• Предмет: Алгебра
  • Автор: Rovll
  • Вопрос задан 8 лет назад

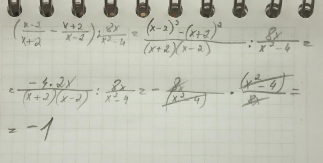
(x - 2/ x +2 - x + 2/ x-2 ) ÷ 8x/x²-4 упростите выражение, пожалуйста. Очень срочно надо​

Ответы

Ответ дал: arsanna
0

Ответ:

-1

Объяснение:

решение прикреплено фото. Если не понятно, пишите в комментарии

Приложения:
Вас заинтересует