Ответы
Ответ дал:
0
Ответ:
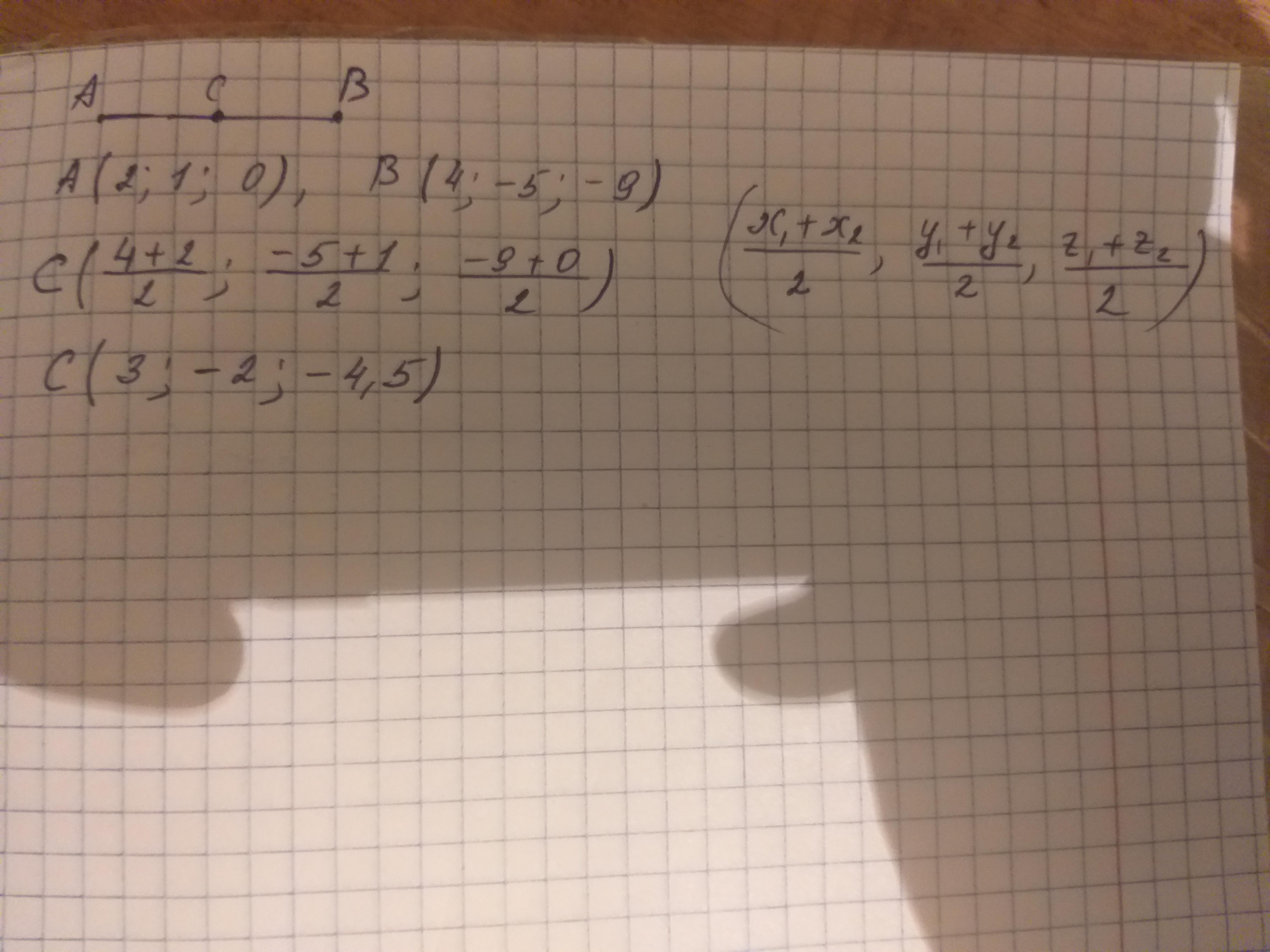
Ответ внизу на фото
Объяснение:
Приложения:

Вас заинтересует
3 года назад
3 года назад
8 лет назад