• Предмет: Математика
  • Автор: Аноним
  • Вопрос задан 8 лет назад

Помогите плиз. Времени не хватает

Приложения:

Ответы

Ответ дал: TUTIOY
0

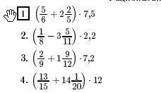
1)

(frac{5}{6} +2frac{2}{5} )*7,5=(frac{5*5+12*6}{30} )*7,5=frac{97}{30} *7,5=frac{727,5}{30} =24,25

2)

(frac{1}{8} -3frac{5}{11} )*2,2=(frac{1*11-38*8}{88} )*2,2=-frac{293*2,2}{88} =-frac{644,6}{88} =-7,325

3)

(frac{2}{9} +1frac{9}{12} )*7,2=(frac{2*12+21*9}{108} )*7,2=frac{213*7,2}{108} =frac{1533,6}{108} =14,2

4)

(frac{13}{15} +14frac{1}{20} )*12=(frac{13*20+281*15}{300} )*12=frac{4475*12}{300}=frac{53700}{300}=179

Спрашивай, если что-то не понятно

Ответ дал: TUTIOY
0
В 4 примере в конце случайно А поставил, не обращай на нее внимания
Вас заинтересует