Ответы
Ответ дал:
0
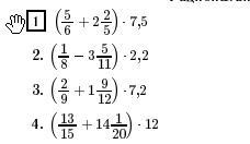
Ответ: 1. 24,25 2. -7,325 3. 14,24. 4. 179
Подробное решение:
1.(56+125)*7,5=9730*7,5=24,25
2.(18-3811)*2,2=-29388*2,2=-58680=-7,325
3.(29+2112)*7,2=213108*7,2=127890=14,2
4.(1315+28120)*12=89560*12=179
Ответ дал:
0
Ответ:
Пошаговое объяснение:
Приложения:

Вас заинтересует
2 года назад
3 года назад
8 лет назад
8 лет назад
9 лет назад