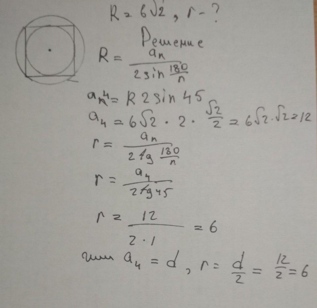
радиус описанной окружности равен 6 корней из 2 найти радиус вписанной окружности ( фигура квадрат)
Ответы
Ответ дал:
0
Ответ: 6
Объяснение:
Можно решать так, что сторона квадрата равна диаметру, а можно решать через формулу вписанной окружности. Есть третья формула, зависимости между радиусами вписанной и описанной окружности, но я её не помню.
Приложения:

Вас заинтересует
2 года назад
2 года назад
3 года назад
8 лет назад
9 лет назад