Ответы
Ответ дал:
0
Ответ:
E=4.086*10^6 В/м
Объяснение:
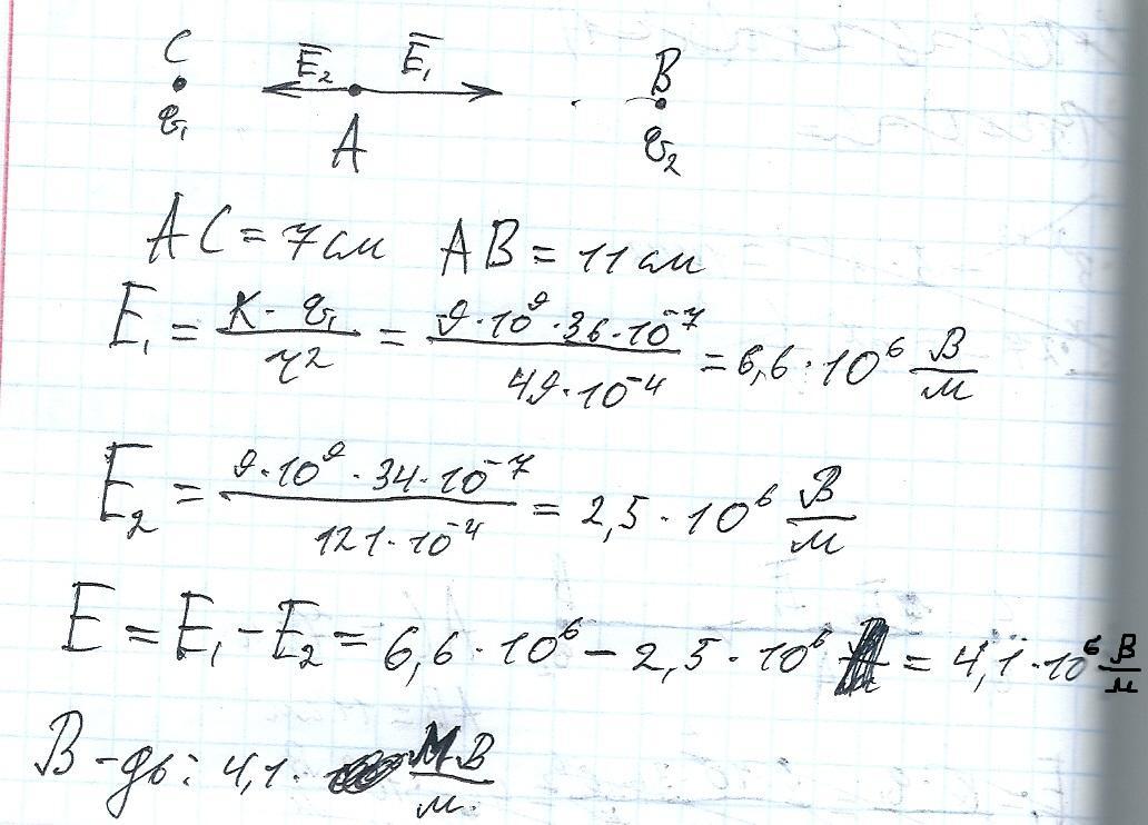
q1=+3.6*10^-6 Кл q2=+3.4*10^-6 Кл L=0.18 м L1=0.07 м Е=?
===
E=E1-E2=k*(q1/L1² - q2/(L-L1)²)=9*10^9*(3.6/0.07² - 3.4/(0.18-0.07)²)*10^-6=
=4.086*^6 В/м
=================================
Ответ дал:
0
************************************
Приложения:

Вас заинтересует
2 года назад
2 года назад
3 года назад
3 года назад
8 лет назад
8 лет назад
9 лет назад