• Предмет: Математика
  • Автор: games96
  • Вопрос задан 8 лет назад

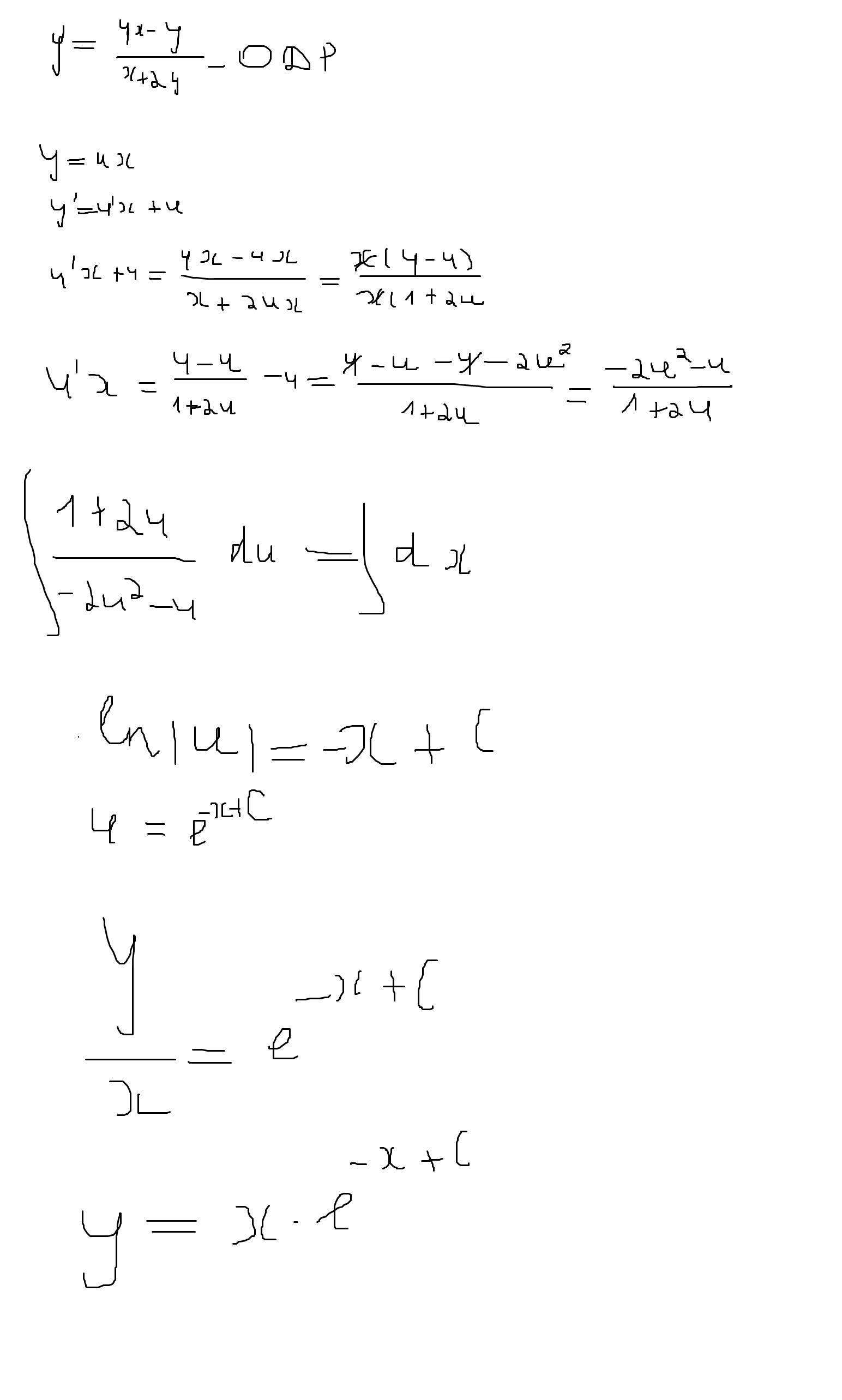
Очень нужно, уровненные первого порядка , экзамен

Приложения:

Ответы

Ответ дал: Аноним
0

Ответ:

Пошаговое объяснение:

вот

Приложения:
Вас заинтересует