Ответы
Ответ дал:
0
Ответ:
Объяснение:
ВОТ
Приложения:

Ответ дал:
0
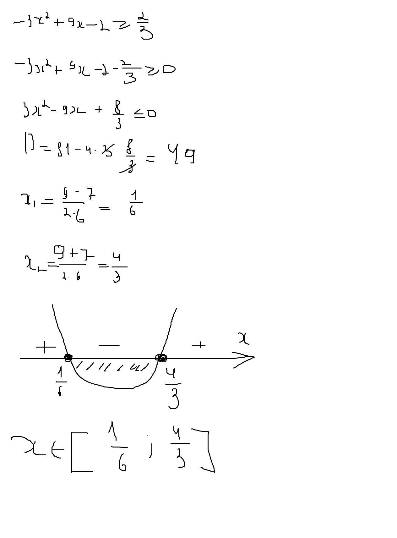
Ответ: переносим 2/3 влево со знаком минус:-3*х²+9*х-2 2/3>0⇒-3*x²+9*x-8/3>0
Дискриминант 81-4*3*8/3=81-32=49, корни х1=(-9+√49)/(-6)=1/3, x2=(-9-√49)/-(6)=2 2/3. Искомые значения х находятся в интервале между х1 и х2.
Объяснение:
Приложения:

Вас заинтересует
2 года назад
3 года назад
8 лет назад
9 лет назад
9 лет назад