Ответы
Ответ дал:
0
Ответ:
Пошаговое объяснение:
ВОТ
Приложения:

Ответ дал:
0
Ошибки исправьте.
Ответ дал:
0
К сожеление их нет
Ответ дал:
0
Если их нет, то это не к сожалению, а к счастью), но они, к сожалению есть.
Ответ дал:
0
5.f(x)=(е⁻³ˣ-е³ˣ)/3; эф штрих равен( -3е⁻³ˣ-3е³ˣ)/3=-(е⁻³ˣ+е³ˣ);
эф штрих от нуля равен -(е⁻³*⁰+е³*⁰)=-(1+1)=-2
4.эф штрих равен √((х-1)/(х+1))*(1/(2√((х+1)/(х-1)))(1*(х-1)-1*(х+1))/(х-1)²=
(-2/2(х-1)²)=-1/(х-1)²; эф штрих от 2 равен -1/(2-1)²=-1
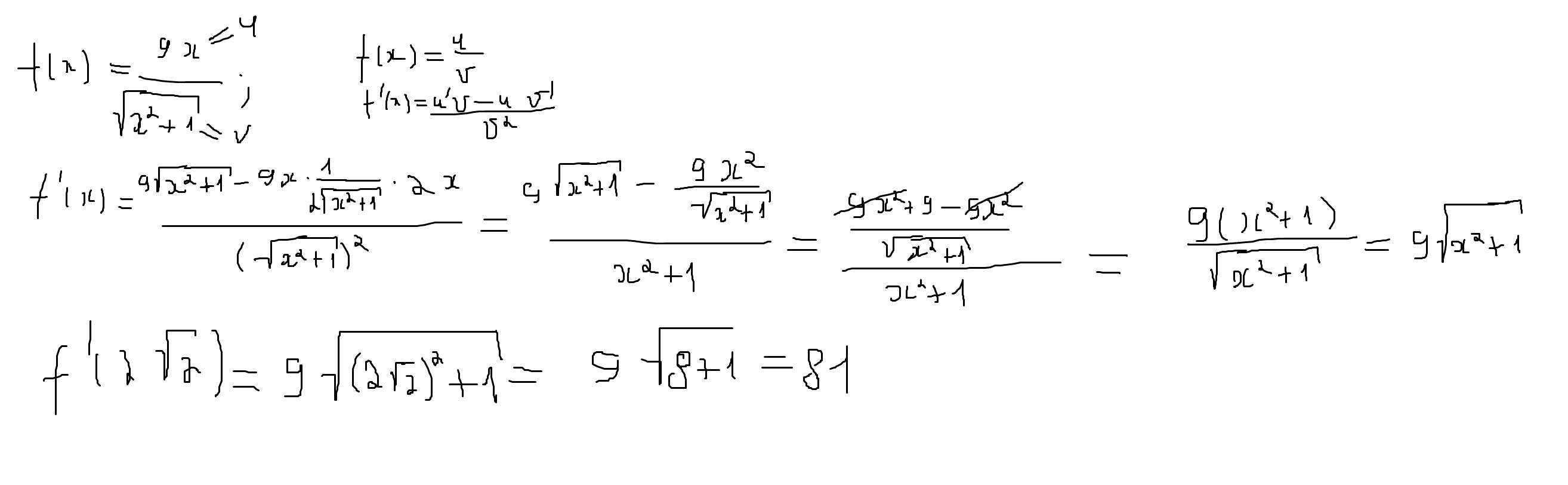
3. производная равна (9*(√(х²+1))-9х*2х/2√(х²+1))/(х²+1)=
9*(х²+1-х²)/((х²+1)√(х²+1))=9/(х²+1)³/²; в точке 2√2 эта производная равна
9/(4*2+1)³/²=9/(9√9)=1/3
2.1*√(t²+1)+(t+1)*(2t/(2√(t²+1))=√(t²+1)+(t²+t)/(√(t²+1)=(t²+1+t²+t)/√(t²+1)=
(2t²+1+t)/√(t²+1) в точке 1 производная равна 4/√2=2√2
1. преобразуем функцию к виду 3*х⁴/³-2х+5+1/х+2х⁻⁵/², возьмем от нее производную. она равна 4∛х-2-1/х²-5/х³√х, в точке х=1 она равна
4-2-1-5=-4
Приложения:

Вас заинтересует
2 года назад
2 года назад
3 года назад
8 лет назад
8 лет назад