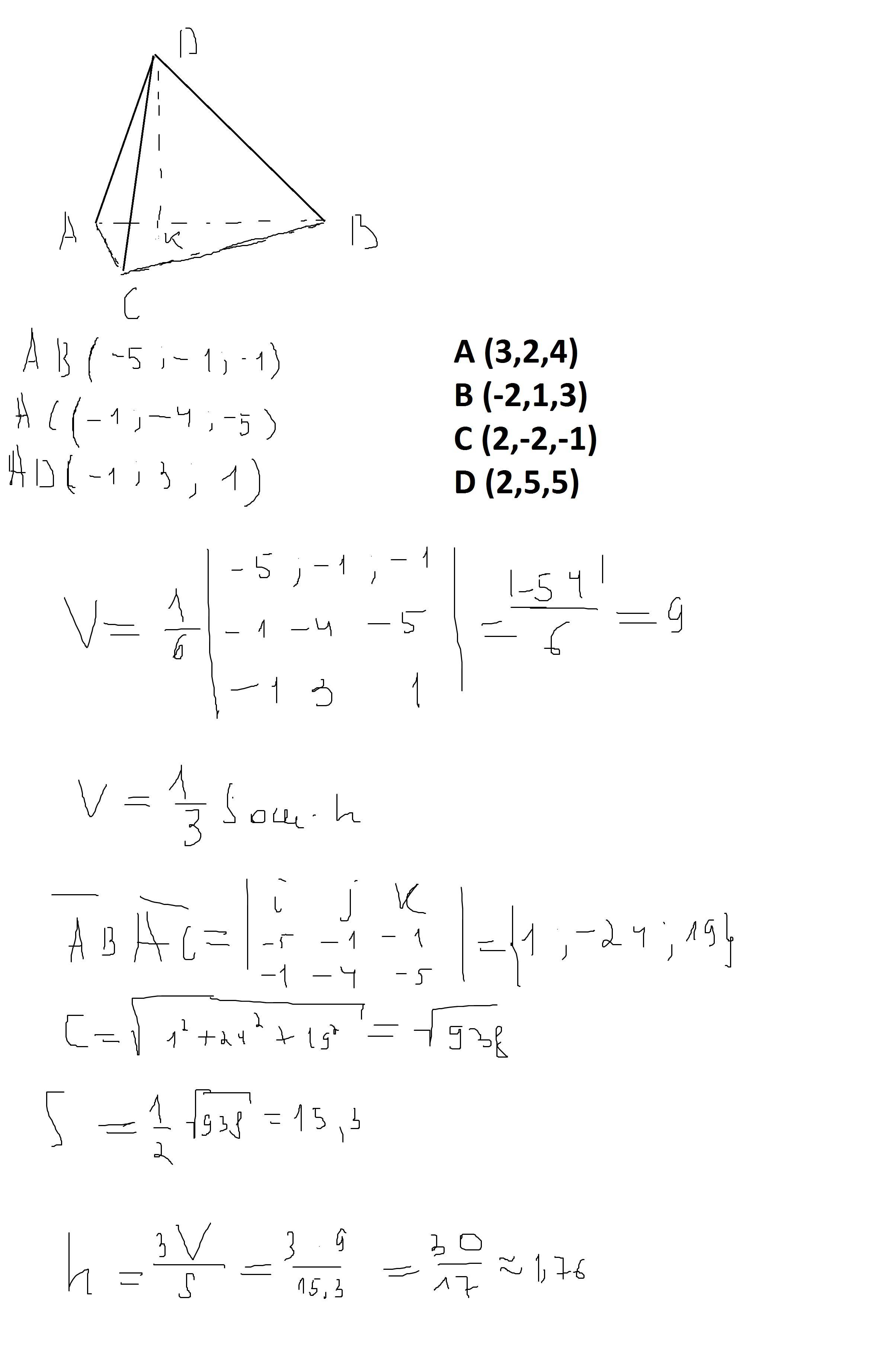
Найти объем пирамиды построенной на векторах AB AC AD и её высоту опущенную из вершин D на грань ABC.
S= 15.3
A (3,2,4)
B (-2,1,3)
С (2,-2,-1)
D (2,5,5)
Вектор a (5, -18, -23)
Вектор b ( -5, -1, -1)
Вектор c (4, -3, -4)
Вектор d (-1, -4, ,5).
Ответы
Ответ:
Объяснение:
ВОТ

1. Найдем координаты векторов АВ, АС, АД, везде, где речь идет о векторах, над ними ставьте черту или стрелку. Но у меня к сожалению нет такой возможности. Чтобы найти их координаты, надо от координат конца вычесть координаты начала вектора, АВ(-2-3; 1-2;3-4); АВ(-5;-1;-1)
АС(-1;-4;-5); АД(-1;3;-) Объем найдем, как 1/6 от модуля детерминанта или определителя, где в первой строке поставим координаты вектора АВ, во второй АС , в третьей АД, и вычислим этот определитель по правилу треугольника.
v=(1/6)*║-5 -1 -1 ║
║-1 -4 -5║
║ -1 3 1║, здесь линии должны быть непрерывными, как в модуле, а раскрывается этот определитель так
(1/6)*(модуль от (20-5+3+4-1-75))= модуль минус 54/6=9, т.е. объем равен
9 ед. куб. Из формулы объема пирамиды, известного из курса средней школы, v=s*h/3, находим высоту h=3v/s=3*9/15.3=9/5.1=30/17≈1.76
