• Предмет: Математика
  • Автор: ardalyazzat
  • Вопрос задан 8 лет назад

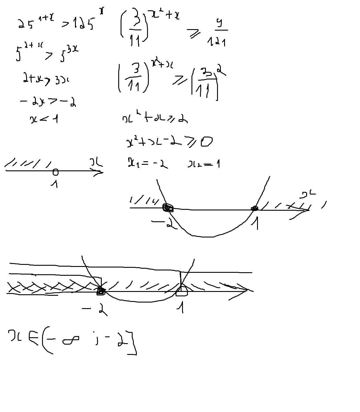
Здраствуйте!!! Найдите общие решение неравенства?

Приложения:

Ответы

Ответ дал: Аноним
0

Ответ:

Пошаговое объяснение:

ВОТ

Приложения:
Вас заинтересует