• Предмет: Физика
  • Автор: Lorentai
  • Вопрос задан 8 лет назад

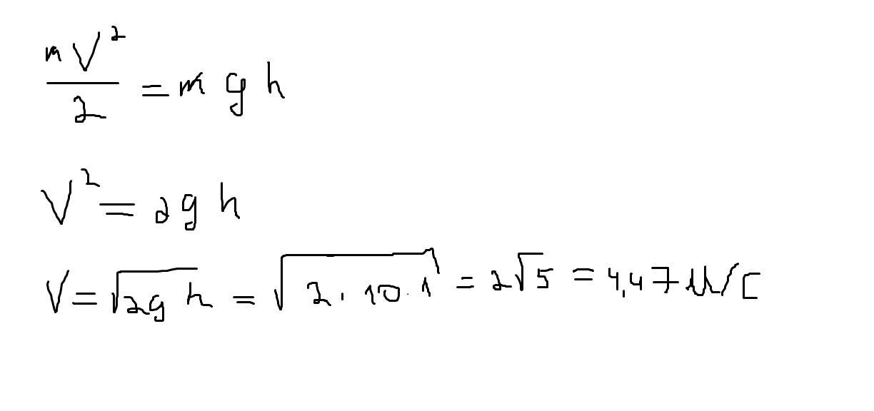
Какую скорость приобретет шар, если он скатится с наклонной плоскости высотой 1 м?

Ответы

Ответ дал: Аноним
0

Ответ:

Объяснение:

вот

Приложения:
Вас заинтересует